Fig. 7

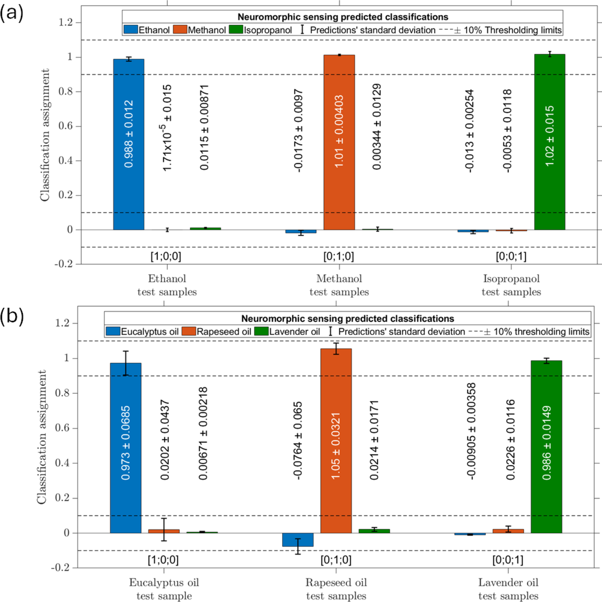
(a) and (b) depict the discrimination results for groups of aliphatic alcohols and essential oils, respectively. Within this classification ± 10% thresholding limits were applied in order to judge the system classification quality.

(a) and (b) depict the discrimination results for groups of aliphatic alcohols and essential oils, respectively. Within this classification ± 10% thresholding limits were applied in order to judge the system classification quality.