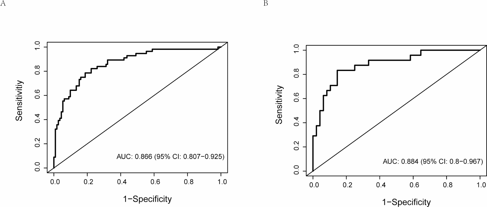
Fig. 4
From: A predictive model for post-COVID-19 pulmonary parenchymal abnormalities based on dual-center data

ROC validation of the residual probability of lung parenchymal abnormality nomogram prediction. (A) The ROC curve from the training set. (B) The ROC curve from the validation set. ROC receiver operating characteristic, AUC area under the curve.