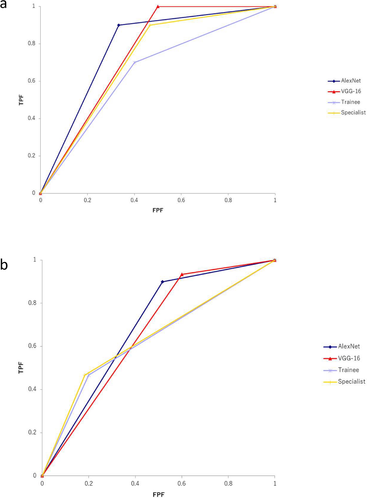
Fig. 4

Receiver operating characteristic (ROC) curve in Group 1 vs. Groups 2 and 3 (a, Top) and ROC curve in Groups 1 and 2 vs. Group 3 (b, bottom). The blue line indicates AlexNet, the red line indicates VGG-16, the purple line indicates a trainee, and the yellow line indicates a specialist.