Fig. 7
From: Experimental study on laser cutting process of simulated fast Reactor fuel rods

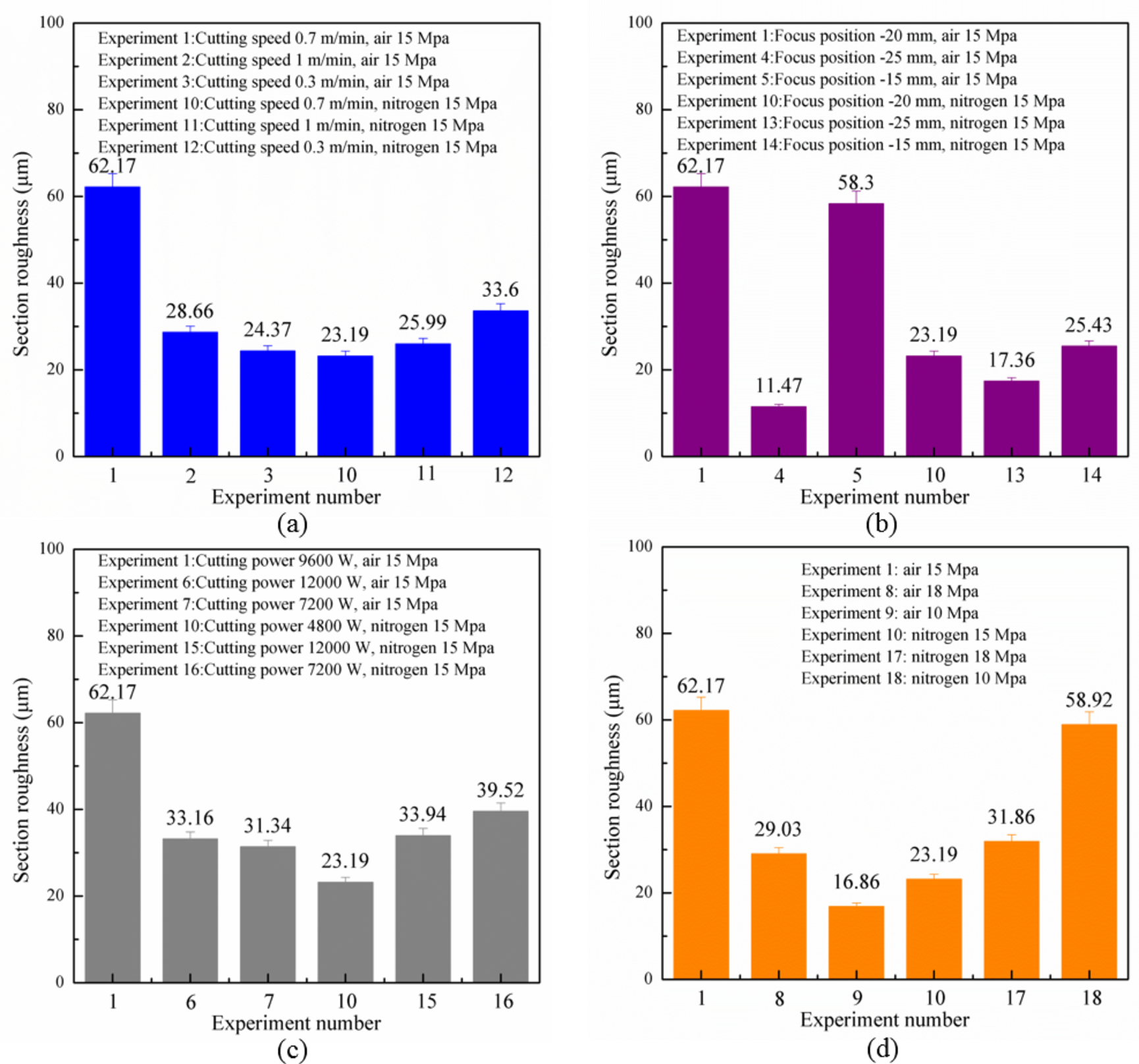
Surface roughness under different cutting parameters. (a) Roughness at different cutting speeds. (b) Roughness at different focal positions. (c) Roughness at different powers. (d) Roughness at different air pressures.