Figure 5
From: Analysis of plasmon modes in Bi2Se3/graphene heterostructures via electron energy loss spectroscopy

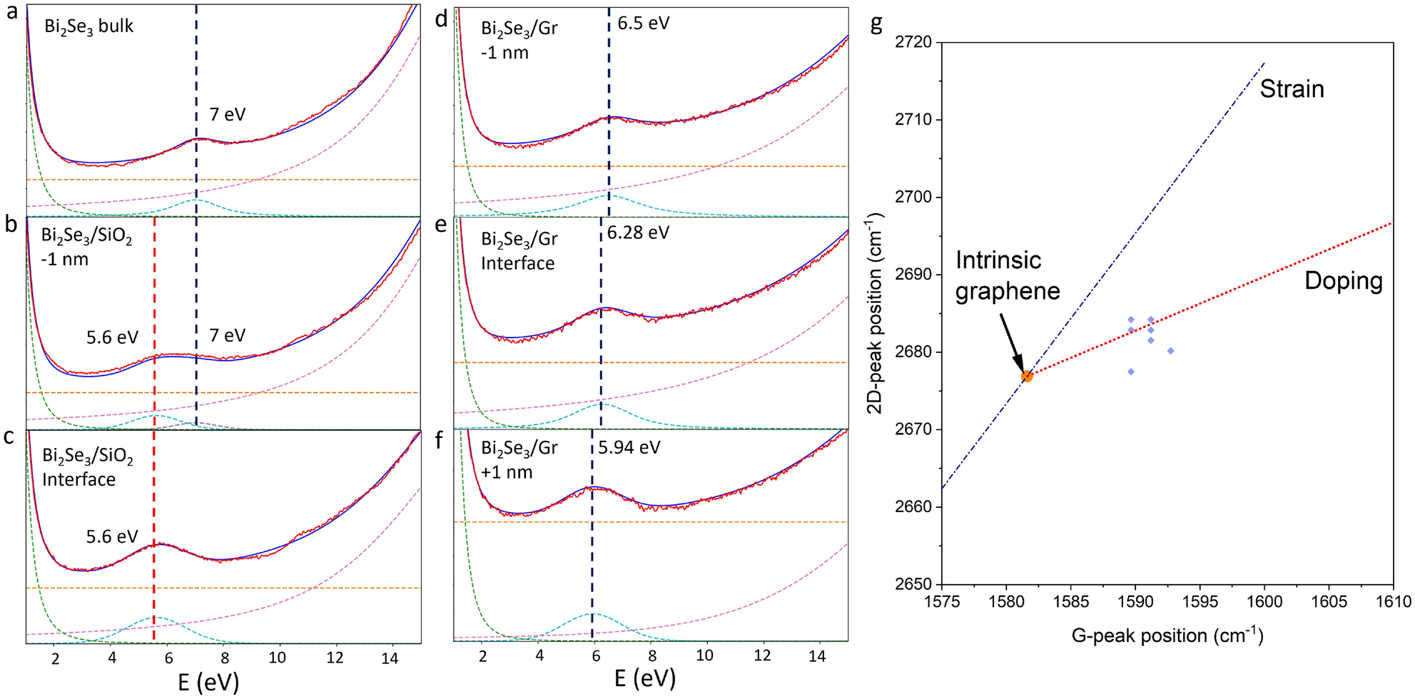
The spectra were fit with Voigt functions to extract the peak positions. The total fit is marked in red and original data in blue. Seperate peak fits are plotted as dotted lines with the \(\pi\) plasmon and SP modes marked. A power law was used to model the edge of the zero-loss peak and a linear offset was applied. (a–c). Fits of the \(\pi\) plasmon and SP mode in the Bi2Se3 bulk (a), 1 nm from the Bi2Se3/SiO2 interface showing the two peak best fit (b) and at the interface (c), in which the band edge is just visible at 10 eV. (d–f). Fits of the \(\pi\) plasmon mode 1 nm into the Bi2Se3 (d) at the Bi2Se3/graphene interface (e), and 1 nm into the graphene/aC (f) showing the shift of the \(\pi\) plasmon energy. (g) Plot of G and 2D peak positions measured via Raman on the Bi2Se3/graphene flake with the strain (blue) and doping (red) vectors marked. The blue diamonds are the peak positions measured over the flake.