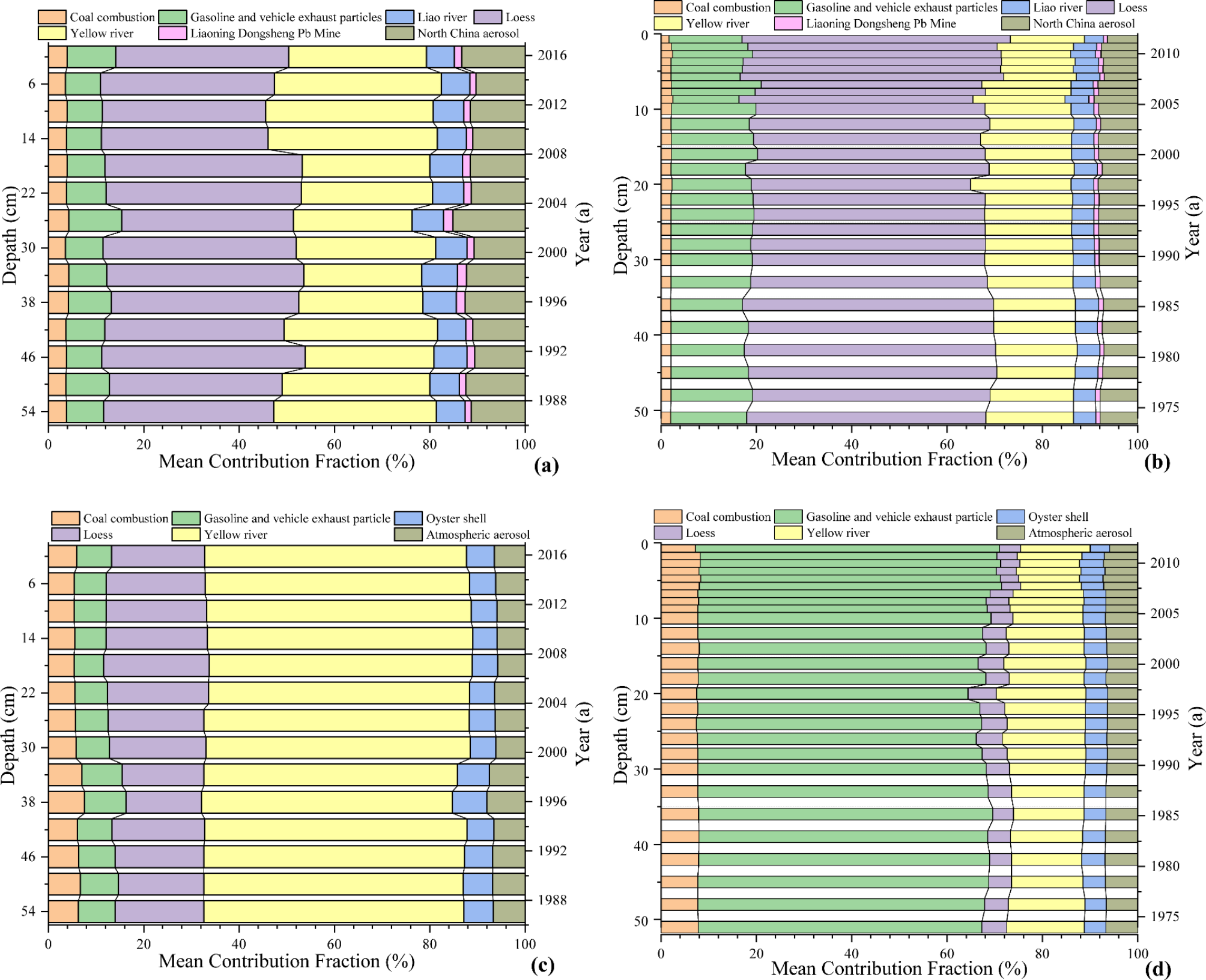
Fig. 8

MixSIAR results for mean contribution of Yellow River sediment, Gas and vehicle exhaust particles, Liao River, Loess, coal combustion, Liaoning Pb mine, and North China aerosol, Oyster shell towards core BB and core LB samples. (a) core BB-Pb; (b) core LB-Pb; (c) core BB-Sr and (d) core LB-Sr.