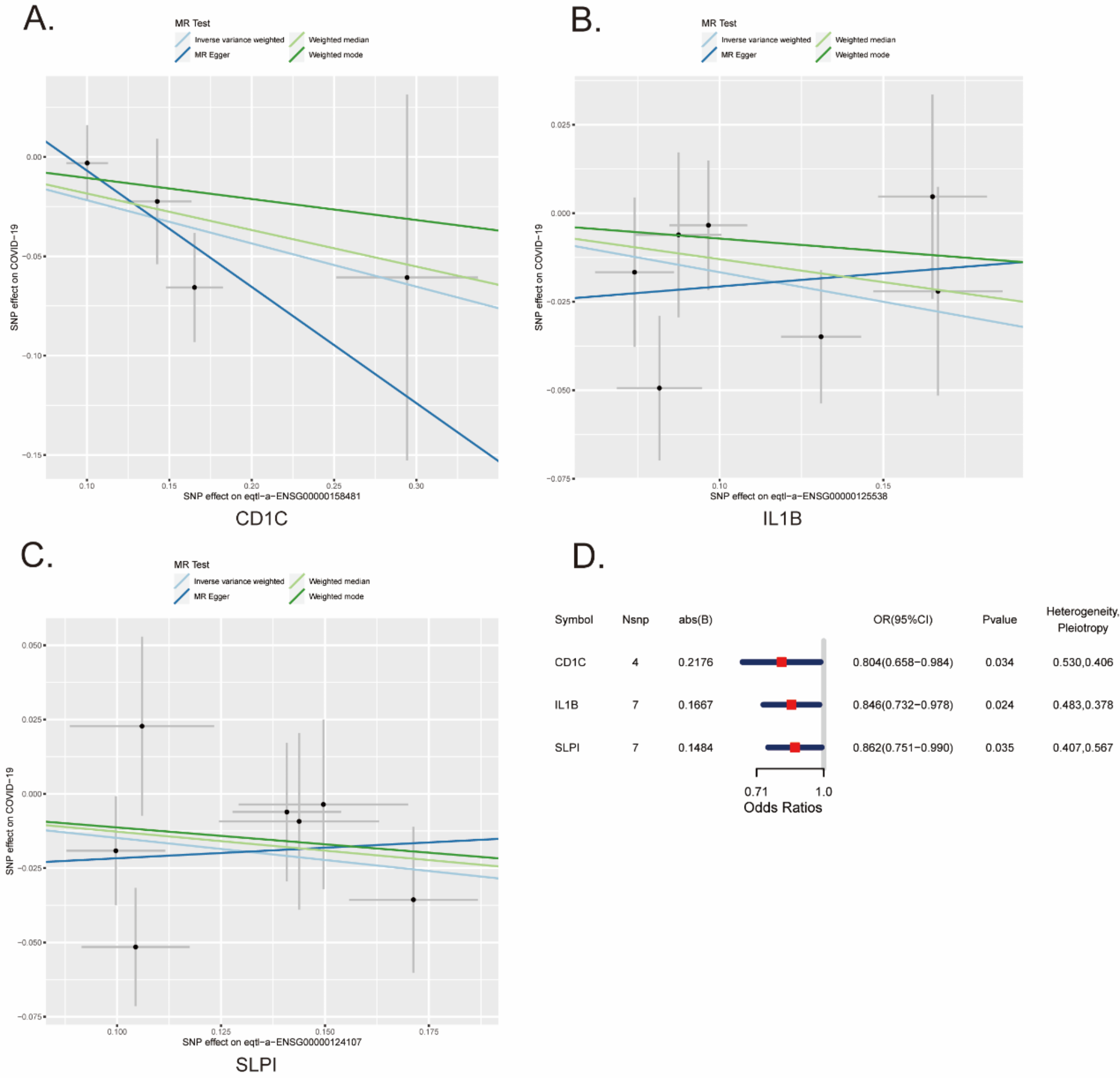
Fig. 3

Mendelian randomization analysis. (A) Scatter plots of the causal effect of CD1C on COVID-19 in the MR analysis. (B) Scatter plots of the causal effect of IL1B on COVID-19 in the MR analysis. (C) Scatter plots of the causal effect of SLPI on COVID-19 in the MR analysis. (D) Forest plot of MR estimates for the association between IRGs and COVID-19. Lines represent the beta effect between IRGs and COVID-19 using inverse variance weighted (light blue), MR-Egger (dark blue), weighted median (green), and weighted mode (dark green). Points indicate the betas of each instrument with IRGs and COVID-19. Vertical and horizontal lines centered at each point show 95% confidence intervals for the associations of each instrument with IRGs and COVID-19. OR: odds ratio; CI: confidence interval. Points indicate the odds ratio per standard deviation increment increase in COVID-19. Error bars indicate 95% confidence intervals.