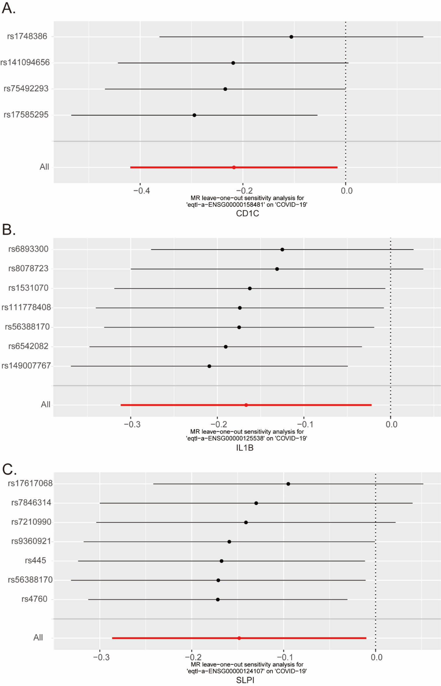
Fig. 4

Leave-one-out sensitivity analysis. (A) Leave-one-out sensitivity analysis of the effect of individual SNPs on the association between CD1C and COVID-19. (B) Leave-one-out sensitivity analysis of the effect of individual SNPs on the association between IL1B and COVID-19. (A) Leave-one-out sensitivity analysis of the effect of individual SNPs on the association between SLPI and COVID-19.