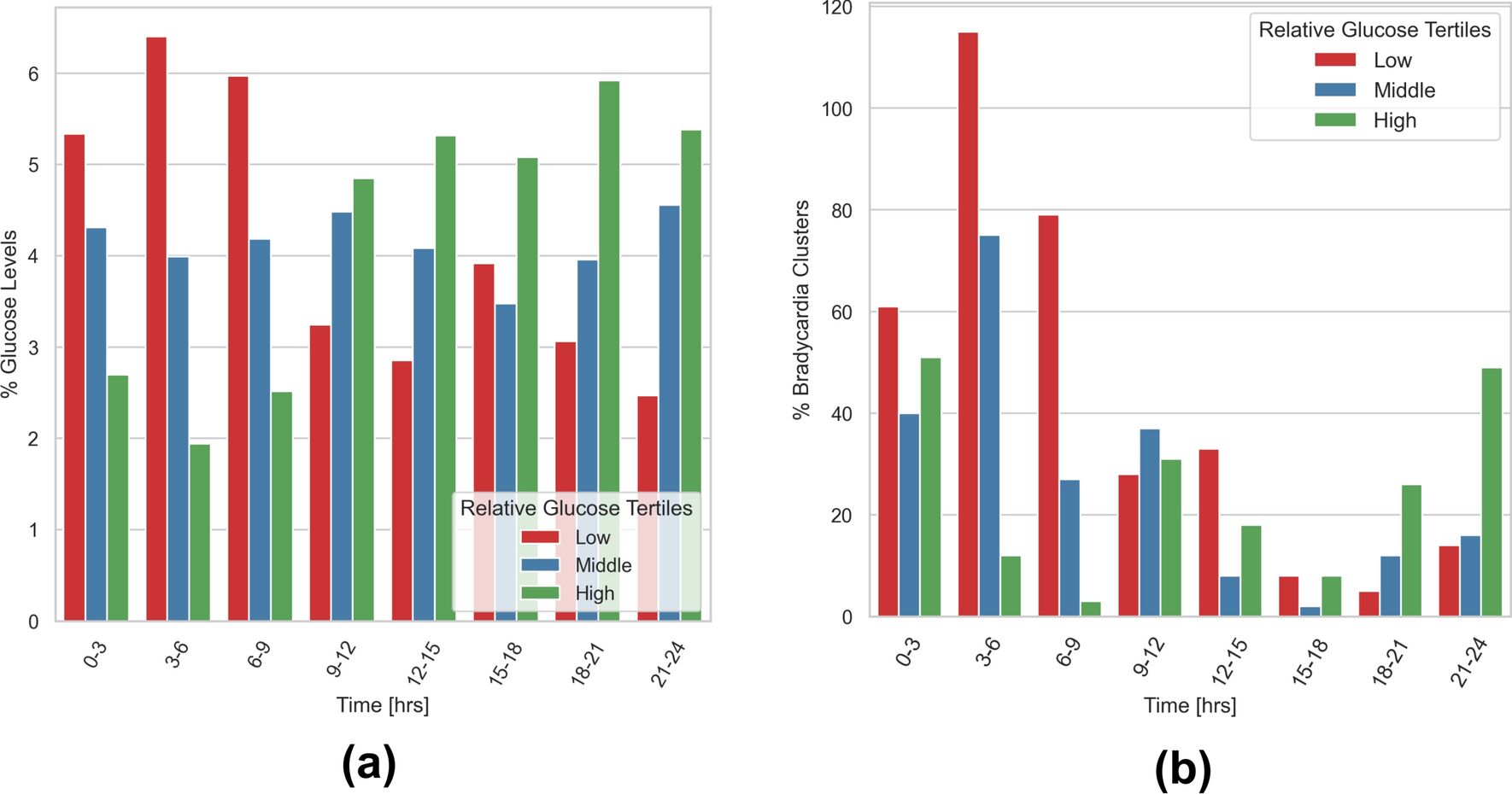
Fig. 5

Tertiles data points percentage and three hours bradycardia percentage. (a) Percentage of data points at different glucose tertiles in 3-hour time intervals. (b) Percentage of bradycardia events at different glucose tertiles in 3-hour time intervals.