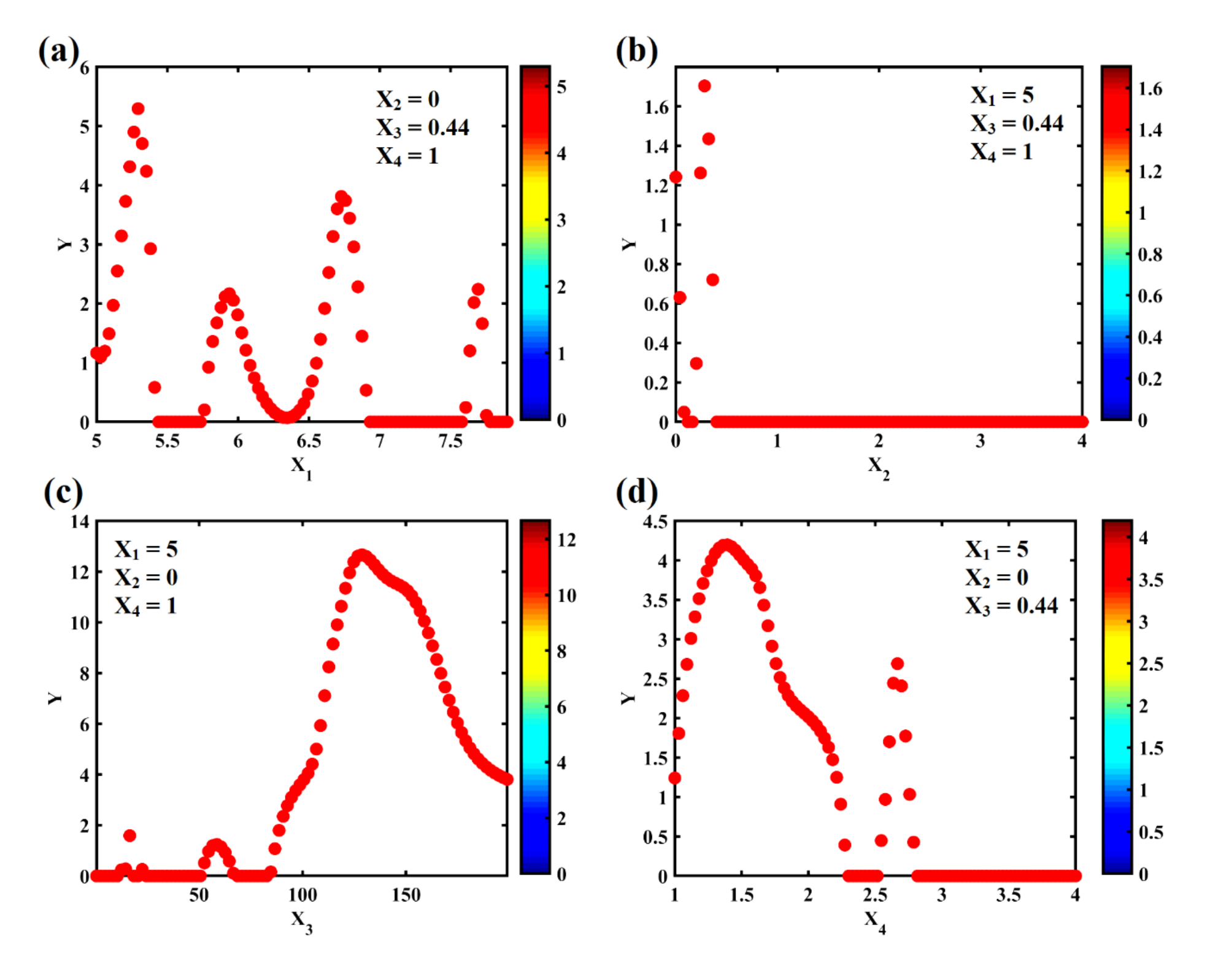
Fig. 4
From: Modeling peak ground acceleration for earthquake hazard safety evaluation

Effect of four key seismic factors: (a) moment magnitude (X1), (b) fault type (X2), (c) epicentral distance (X3), and (d) soil type (X4) on peak ground acceleration (Y).