Fig. 1

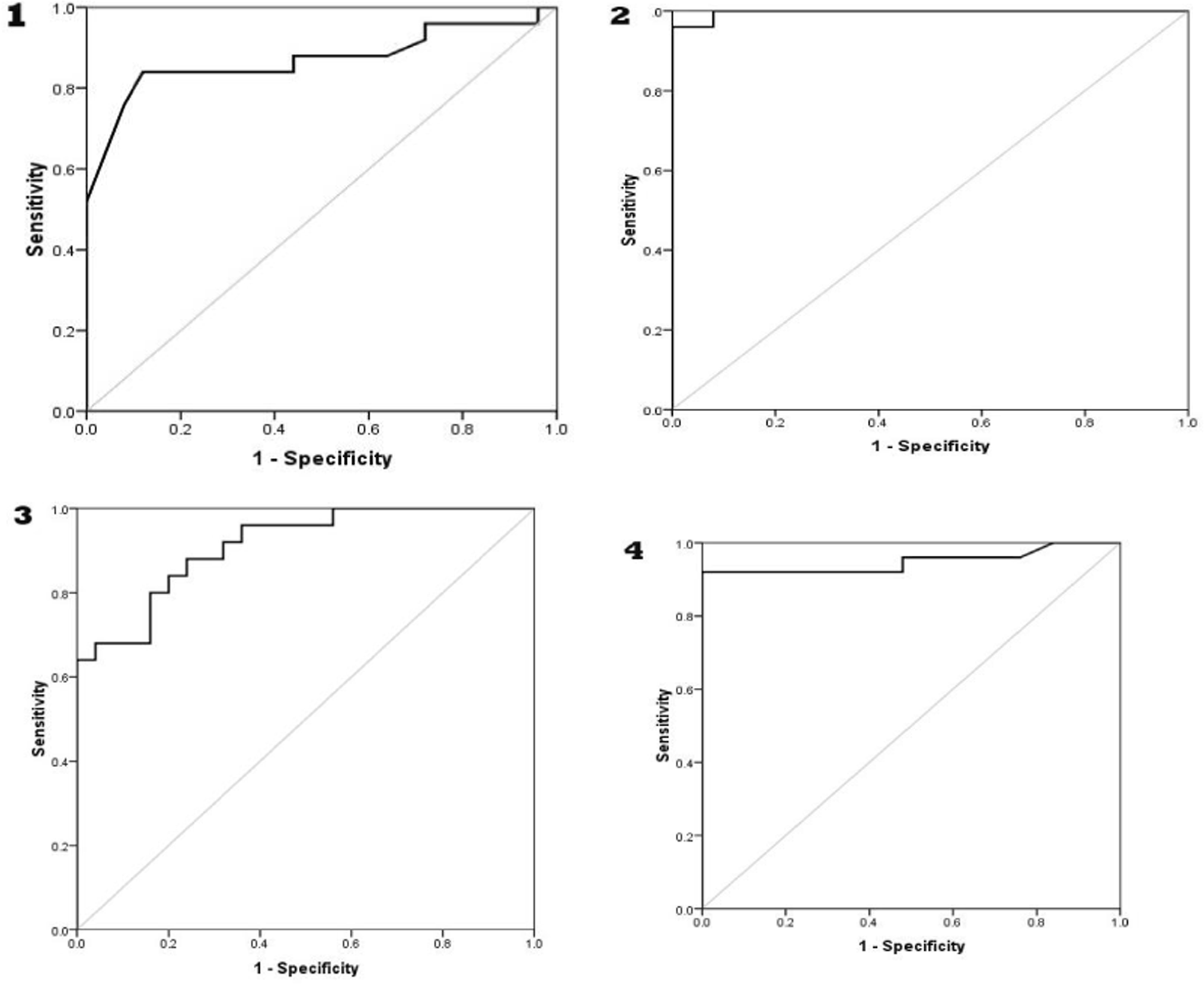
Figure 1 ROC curves that indicate performance of (1) serum Asprosin concentration, (2) Asprosin expression, (3) serum Gremlin-1 concentration, (4) Gremlin-1 expression in diagnosis of T1DM.

Figure 1 ROC curves that indicate performance of (1) serum Asprosin concentration, (2) Asprosin expression, (3) serum Gremlin-1 concentration, (4) Gremlin-1 expression in diagnosis of T1DM.