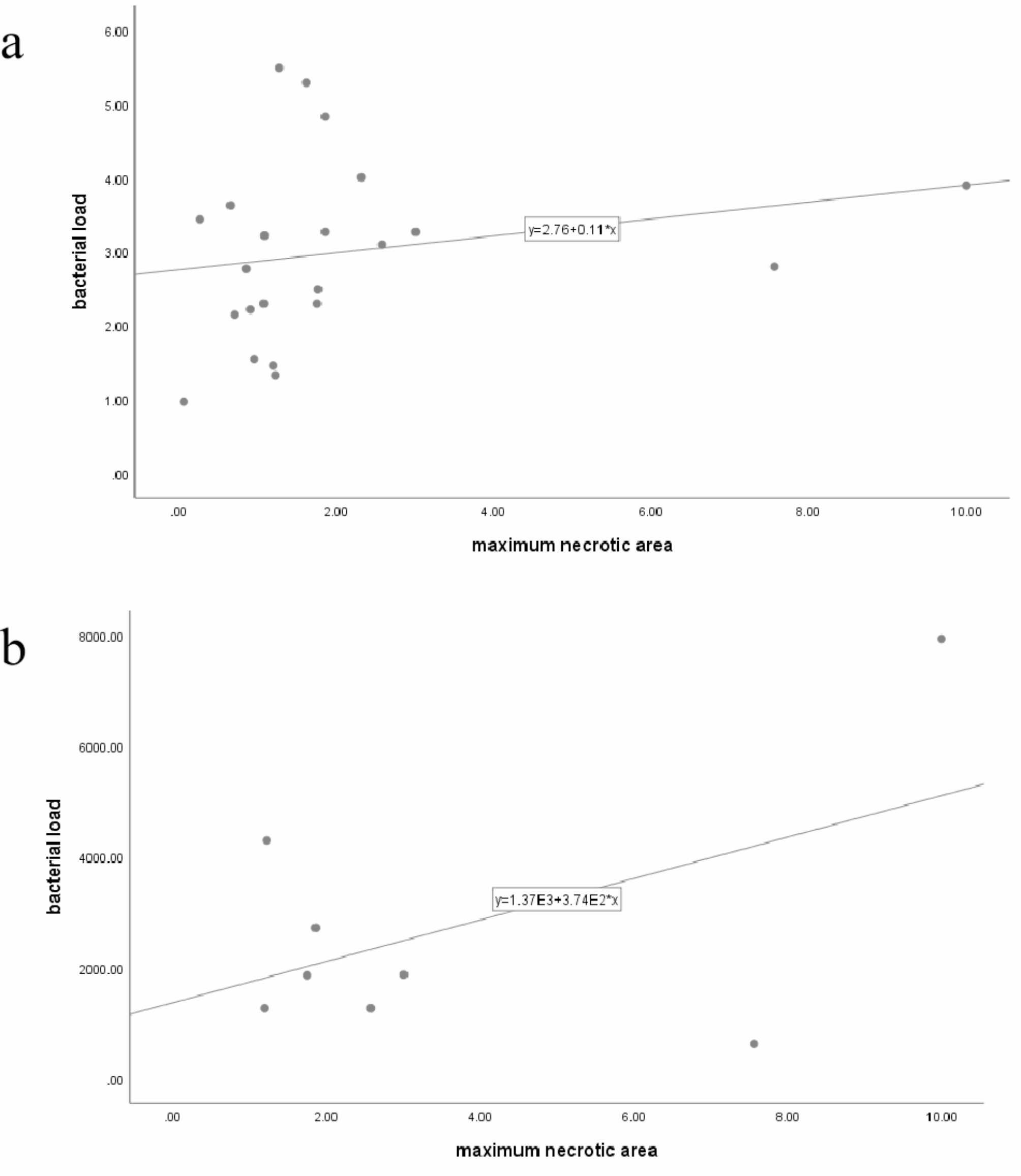
Fig. 2

Maximum necrotic area of the lymph nodes plotted against the pus MTB load. (a) No correlation was observed between these two variables in the 22 patients. (b) Moreover, no correlation was observed between these two variables in the ineffective group.