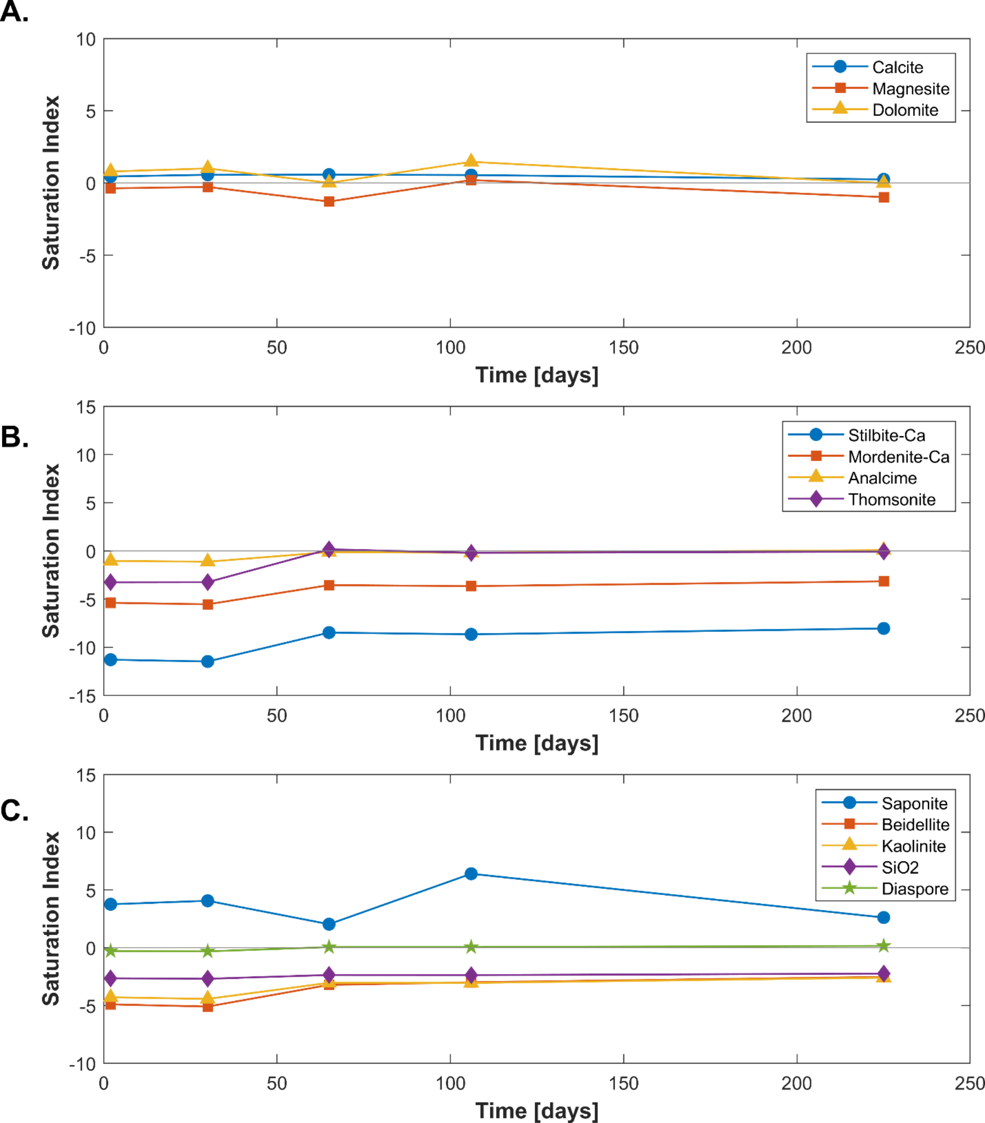
Fig. 3
From: Rapid CO2 mineralization by zeolite via cation exchange

Temporal evolution of the saturation indices of selected minerals and stilbite in the reactive fluids including (A) carbonate minerals, (B) stilbite and other zeolites and (C) selected clay and Al-hydroxide minerals. These saturation indices were calculated using PHREEQC50,51 together with its “Kinec.dat” database43,53. A positive saturation index indicates the mineral is supersaturated in the fluid, whereas a negative saturation index indicates the mineral is undersaturated in the fluid.