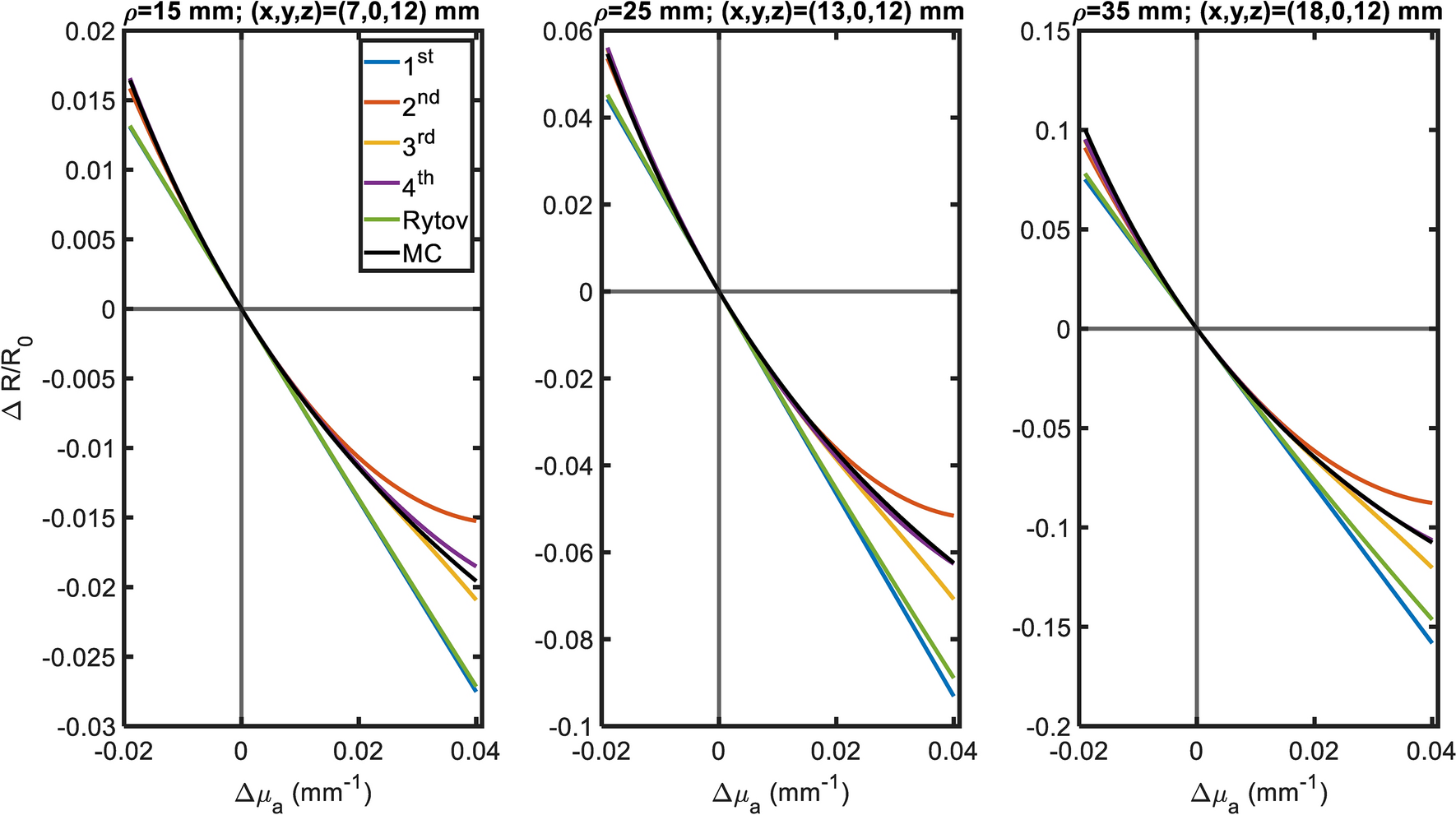
Fig. 10

As in Fig. 9 but for different values of the background medium optical properties: \(\left({\mu }_{a},{\mu }_{s}^{\prime}\right)=\left(0.02, 1.5\right){ \text{ mm}}^{-1}\). The change of absorption coefficient was: \(\Delta {\mu }_{a}\in \left(-0.019, 0.04\right){ \text{ mm}}^{-1}\)