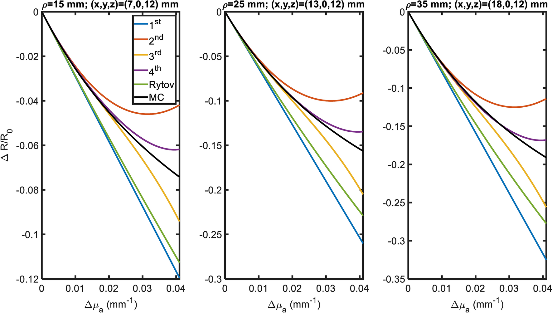
Fig. 9

Comparison of reflectance change \(\frac{\Delta R}{{R}_{0}}\) calculated with the first four orders of Born series, with Rytov approximation and with the FORTRAN MC code at the source-detector separation of \(\rho =15 \text{ mm}\) (left panel), \(\rho =25 \text{ mm}\) (center panel) and \(\rho =35 \text{ mm}\) (right panel). For each source-detector pair the location of the defect (a cube of side \(6 \text{ mm}\)) is indicated in the title. The baseline properties of the medium are \(\left({\mu }_{a},{\mu }_{s}^{\prime}\right)=\left(0.005, 1.5\right){ \text{ mm}}^{-1}\). The change of absorption coefficient between defect and background medium spans the range \(\Delta {\mu }_{a}\in \left(0, 0.04\right){ \text{ mm}}^{-1}\) with increments of \(0.001 {\text{ mm}}^{-1}\).