Figure 4
From: Bayesian semiparametric inference in longitudinal metabolomics data

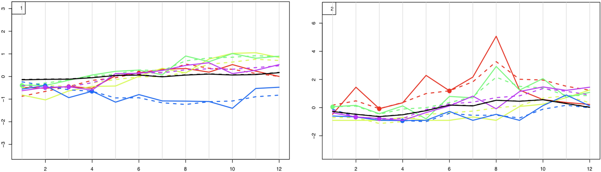
Results for the EarlyBird study: Observed (solid lines) and fitted (dotted lines) trajectories for the first 2 time-varying predictors for 5 randomly selected subjects super-imposed over time-specific sample means across all subjects (solid black line) and the corresponding fitted values (dotted black line). The bullets represent the mean imputed missing values, assumed to be equal to the unknown true values for plotting purposes.