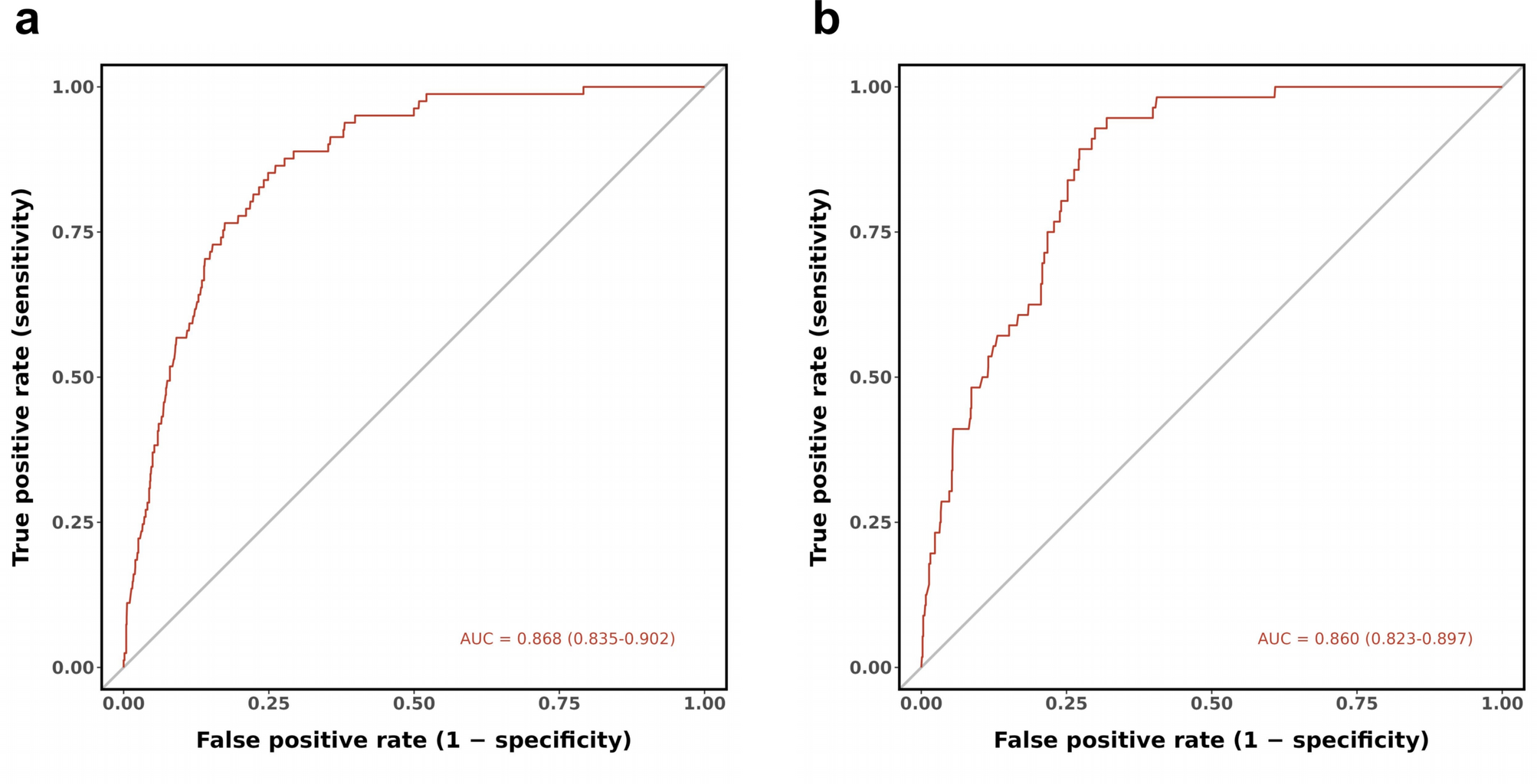
Fig. 4

Discriminative power of the nomogram for failure to collect oocytes in POSEIDON Groups 3 and 4. (a) shows the receiver operating curve of the training cohort. The area under the curve was 0.868 (95% CI 0.835–0.902). (b) shows the receiver operating curve of the validation cohort. The area under the curve was 0.860 (95% CI 0.823–0.897).