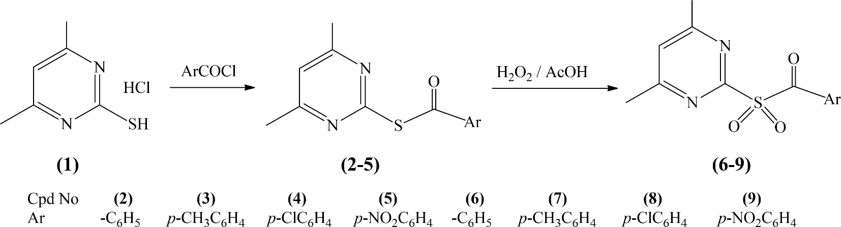
Fig. 1
From: Sulfoxidation of pyrimidine thioate derivatives and study their biological activities

Sulfoxidation of pyrimidine benzothioate derivatives.
From: Sulfoxidation of pyrimidine thioate derivatives and study their biological activities

Sulfoxidation of pyrimidine benzothioate derivatives.