Fig. 8
From: Sulfoxidation of pyrimidine thioate derivatives and study their biological activities

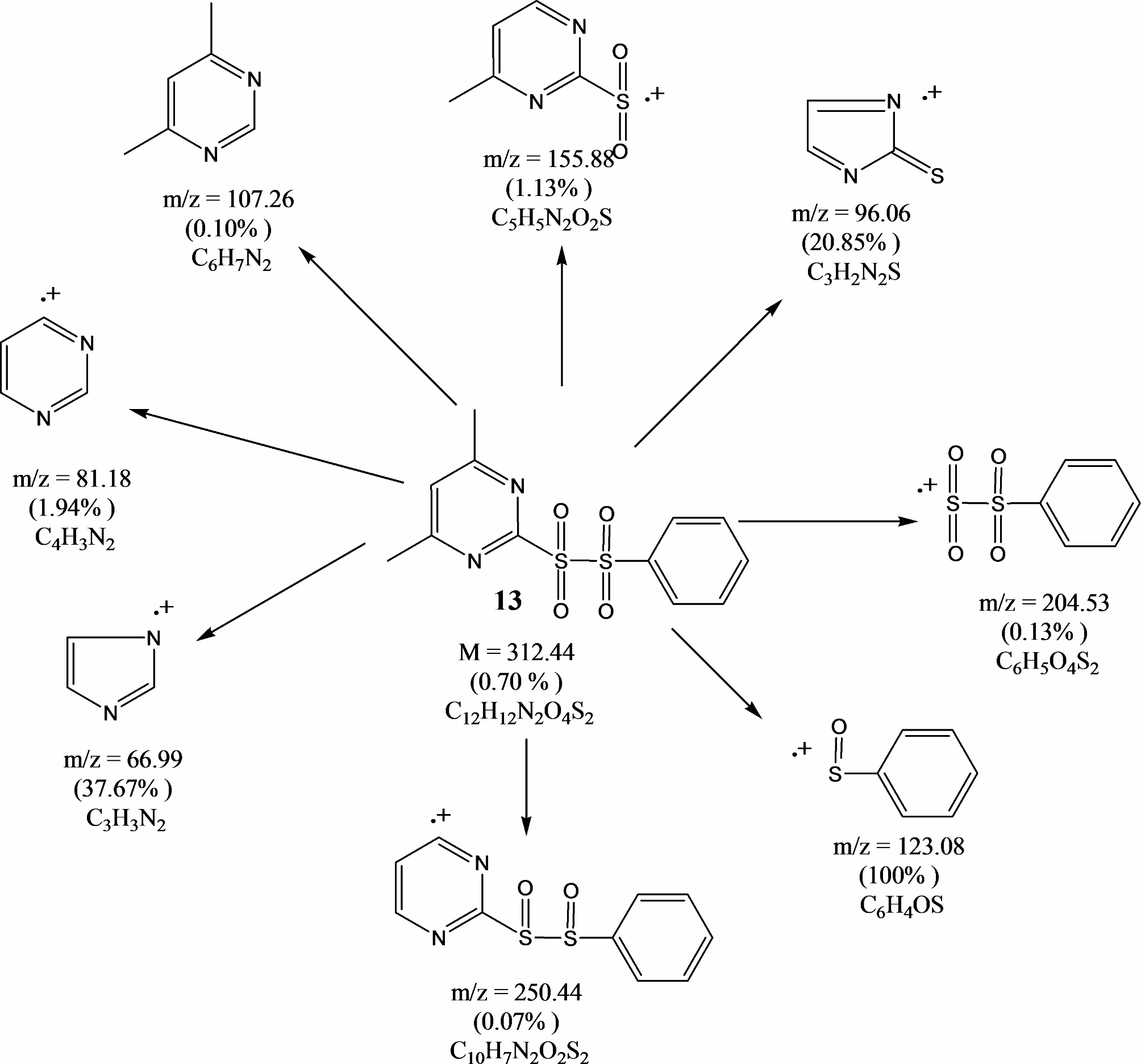
Mass fragmentations of compound 13.
From: Sulfoxidation of pyrimidine thioate derivatives and study their biological activities

Mass fragmentations of compound 13.