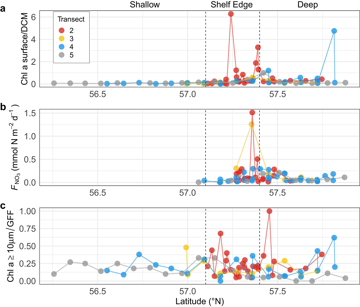
Fig. 2

Measurements of chlorophyll a ratios and nitrate fluxes in shallow, shelf edge and deep areas. (a) Ratios of chlorophyll a concentration at surface layers (5 m) and DCM, (b) Maximum nitrate flux into the euphotic zone previously reported 12. Note that nitrate was not detectable above the shallow area, i.e., FNO3 = 0. (c) Surface (5 m) ratio of chlorophyll a ≥ 10 μm per GFF filter.