Fig. 2
From: Determinants of outcomes in patients with hepatitis B virus-decompensated cirrhosis

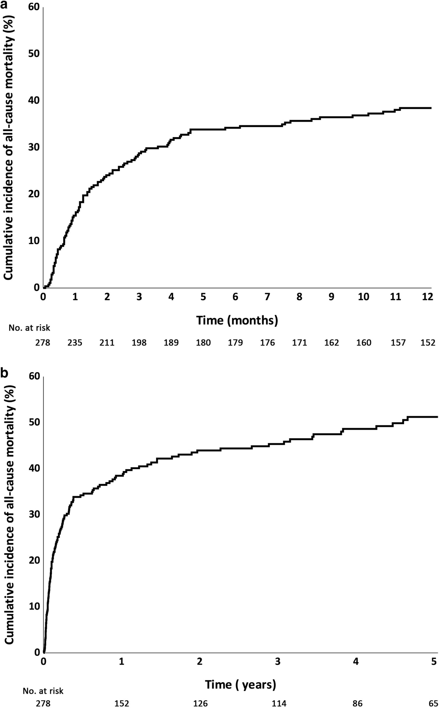
The cumulative incidences of all-cause mortality; (A) one-year cumulative incidence, (B) 5-year cumulative incidence.
From: Determinants of outcomes in patients with hepatitis B virus-decompensated cirrhosis

The cumulative incidences of all-cause mortality; (A) one-year cumulative incidence, (B) 5-year cumulative incidence.