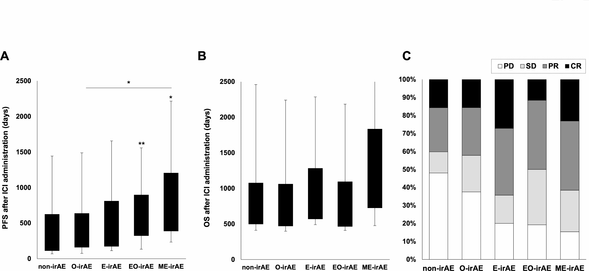
Fig. 5

(A) Progression-free survival (PFS) from first dose of ICI to death or transfer to another physician or to March 31, 2024. (B) Overall survival (OS) from first dose of ICI to death or transfer to another physician or to March 31, 2024. Data presented interquartile range (IQR) and error bars represent 90% tiles. The analysis was conducted on participants who survived for more than one year after ICI administration. Kruskal-Wallis test was used to analyze the results. * p < 0.05, **p < 0.005, *** p < 0.001 vs. non-irAE. (C) Remission rate from ICI administration to the time of change of anticancer therapy or last check. Remission rates were analyzed using the chi-square test. Non-irAE (n = 102); E-irAE, endocrine-related irAE alone (n = 64); O-irAE, other irAEs (n = 70), EO-irAE, both endocrine-related and other irAEs (n = 52); ME-irAE, multiple endocrine-related irAEs (n = 13). PD, progressive disease; SD, stable disease; PR, partial remission; CR, complete remission.