Fig. 1
From: Muon spectroscopy of a 12-phosphatetraphene with extremely efficient radical trapping properties

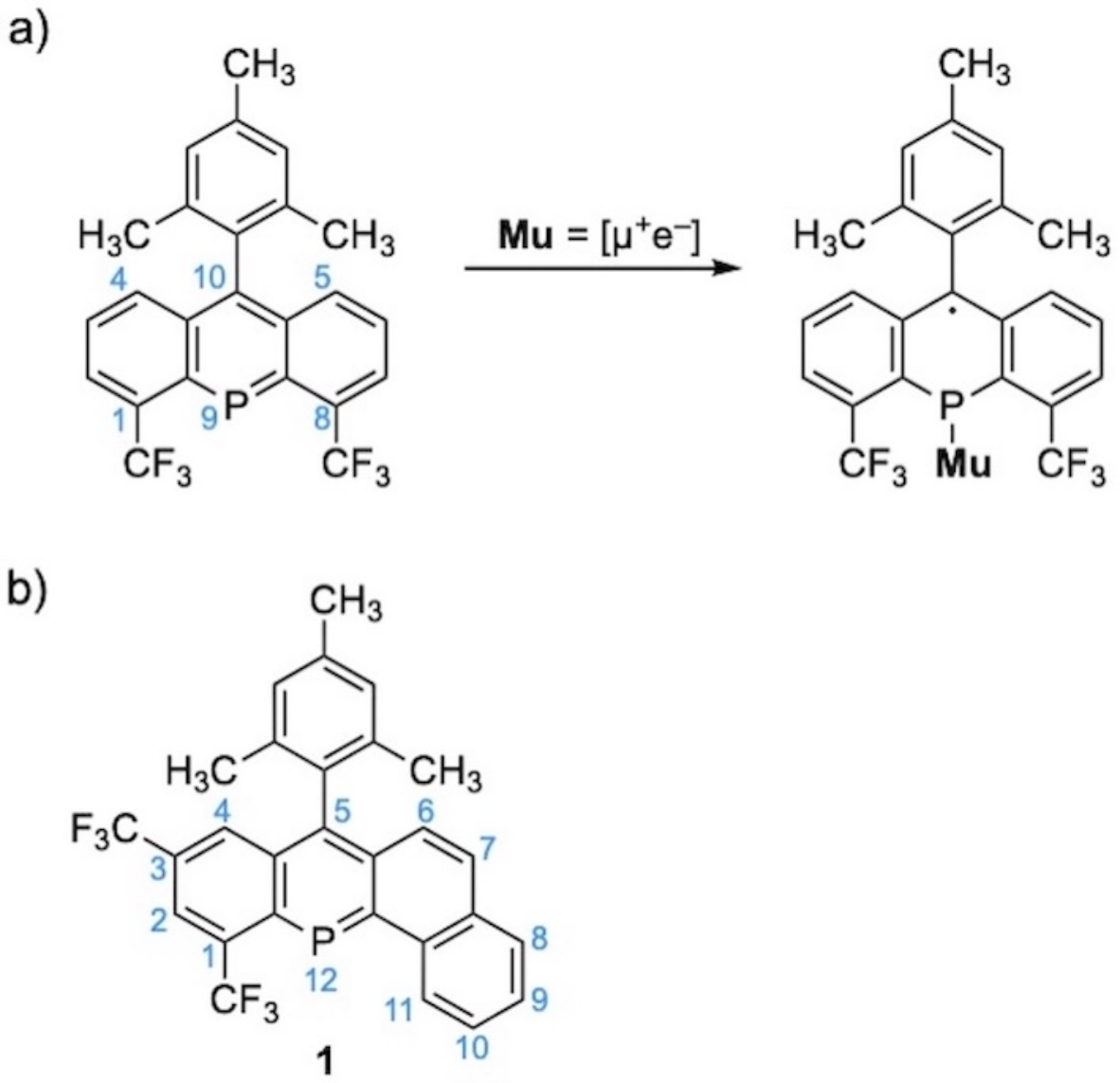
(a) Reaction of a peri-trifluoromethylated 9-phosphaanthracene with muonium (Mu). (b) Chemical formula of 12-phosphatetraphene 1 for this µSR study.