Fig. 7
From: Muon spectroscopy of a 12-phosphatetraphene with extremely efficient radical trapping properties

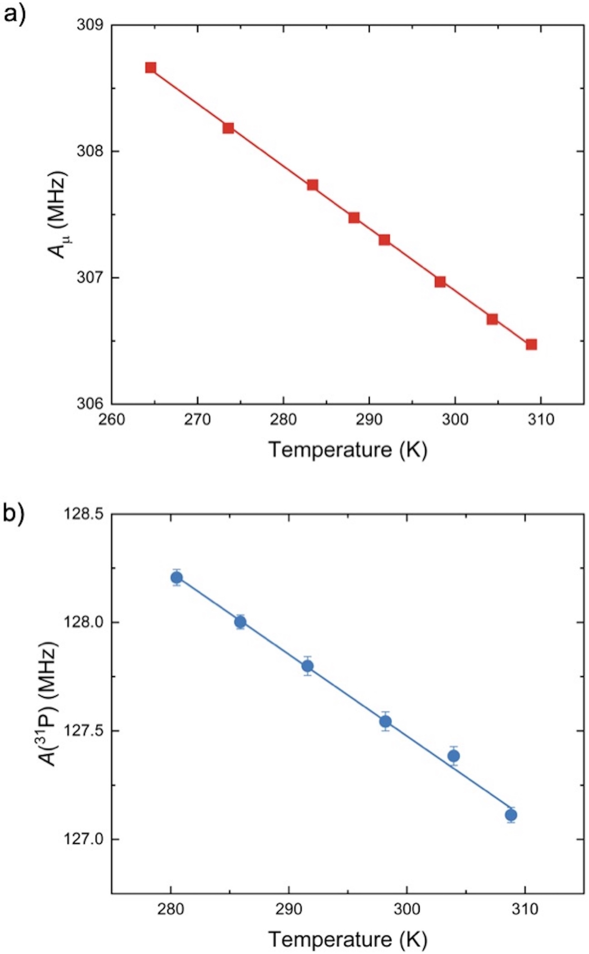
(a) Temperature dependence of the muon hyperfine coupling constant of the Mu adduct of 1. (b) Temperature dependence of the 31P hyperfine coupling constant of the Mu adduct of 1.