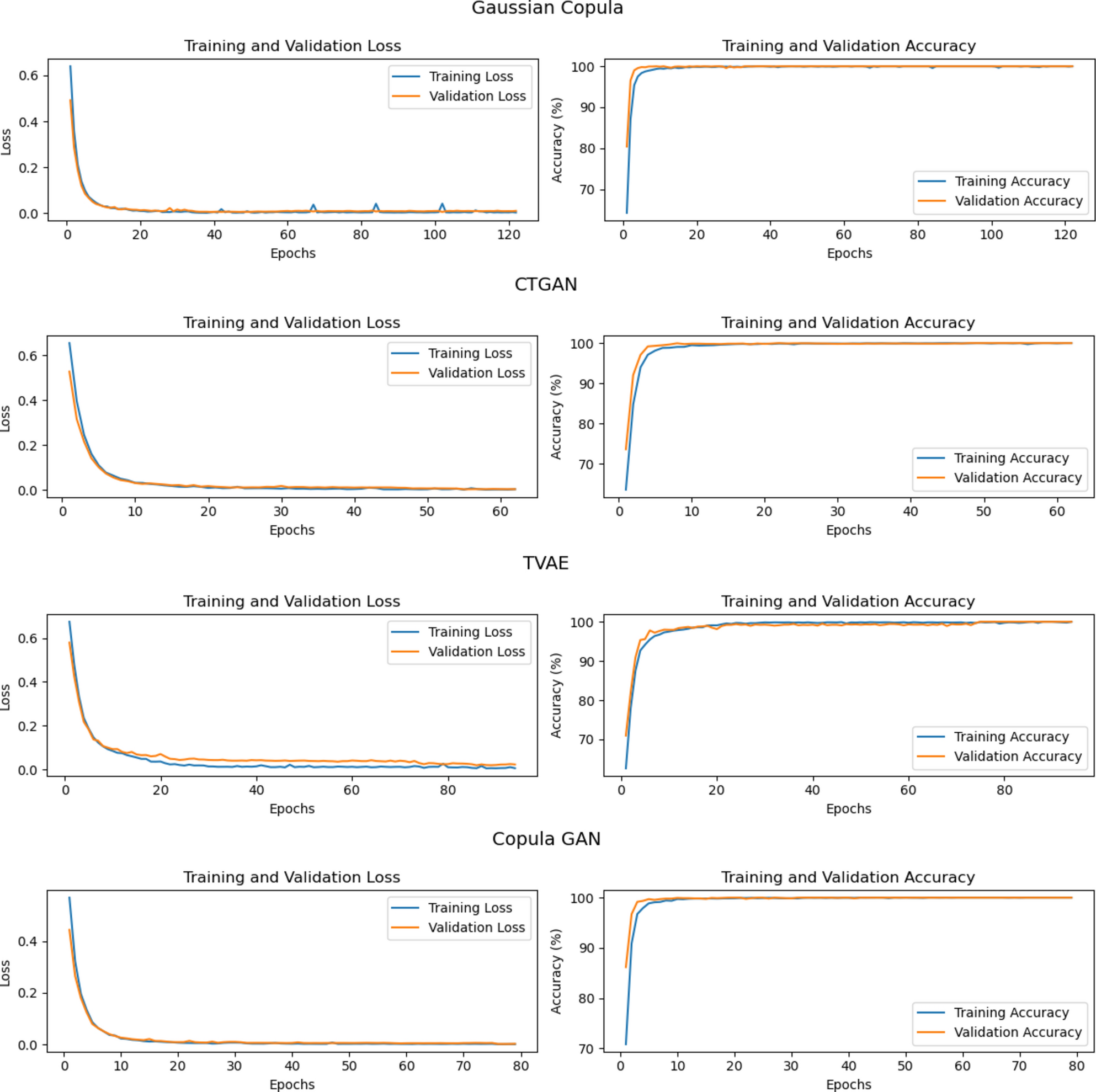
Fig. 4

The average training and validation metrics over epochs during DS-IID training to discriminate between synthetic and real malicious user profiles.

The average training and validation metrics over epochs during DS-IID training to discriminate between synthetic and real malicious user profiles.