Fig. 3
From: Photocatalytic production and biological activity of D-arabino-1,4-lactone from D-fructose

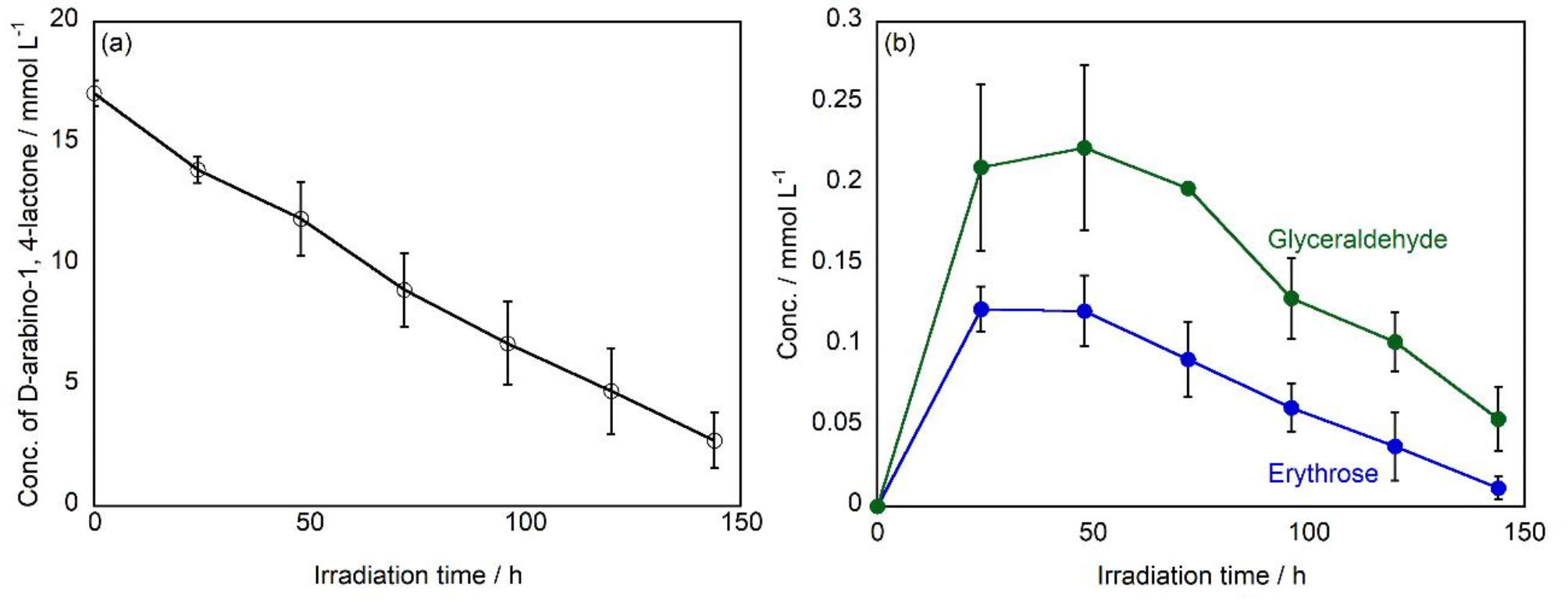
(a) Changes in the concentration of D-arabino-1,4-lactone, and (b) products as a function of UV irradiation time.
From: Photocatalytic production and biological activity of D-arabino-1,4-lactone from D-fructose

(a) Changes in the concentration of D-arabino-1,4-lactone, and (b) products as a function of UV irradiation time.