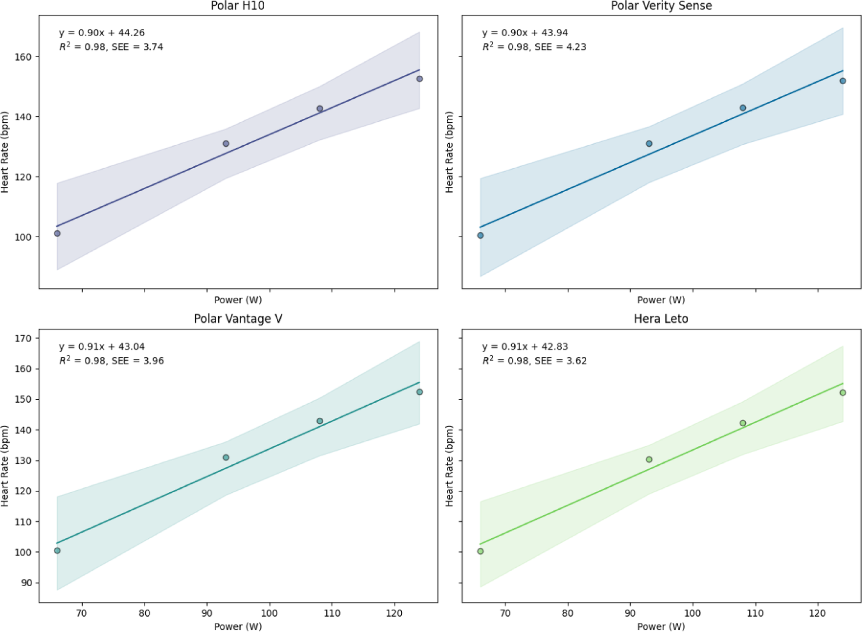
Fig. 3
From: Validity of Hera Leto consumer earbuds for heart rate monitoring during stationary cycling

The linear equations of HR versus power measured by different devices.
From: Validity of Hera Leto consumer earbuds for heart rate monitoring during stationary cycling

The linear equations of HR versus power measured by different devices.