Fig. 4
From: Validity of Hera Leto consumer earbuds for heart rate monitoring during stationary cycling

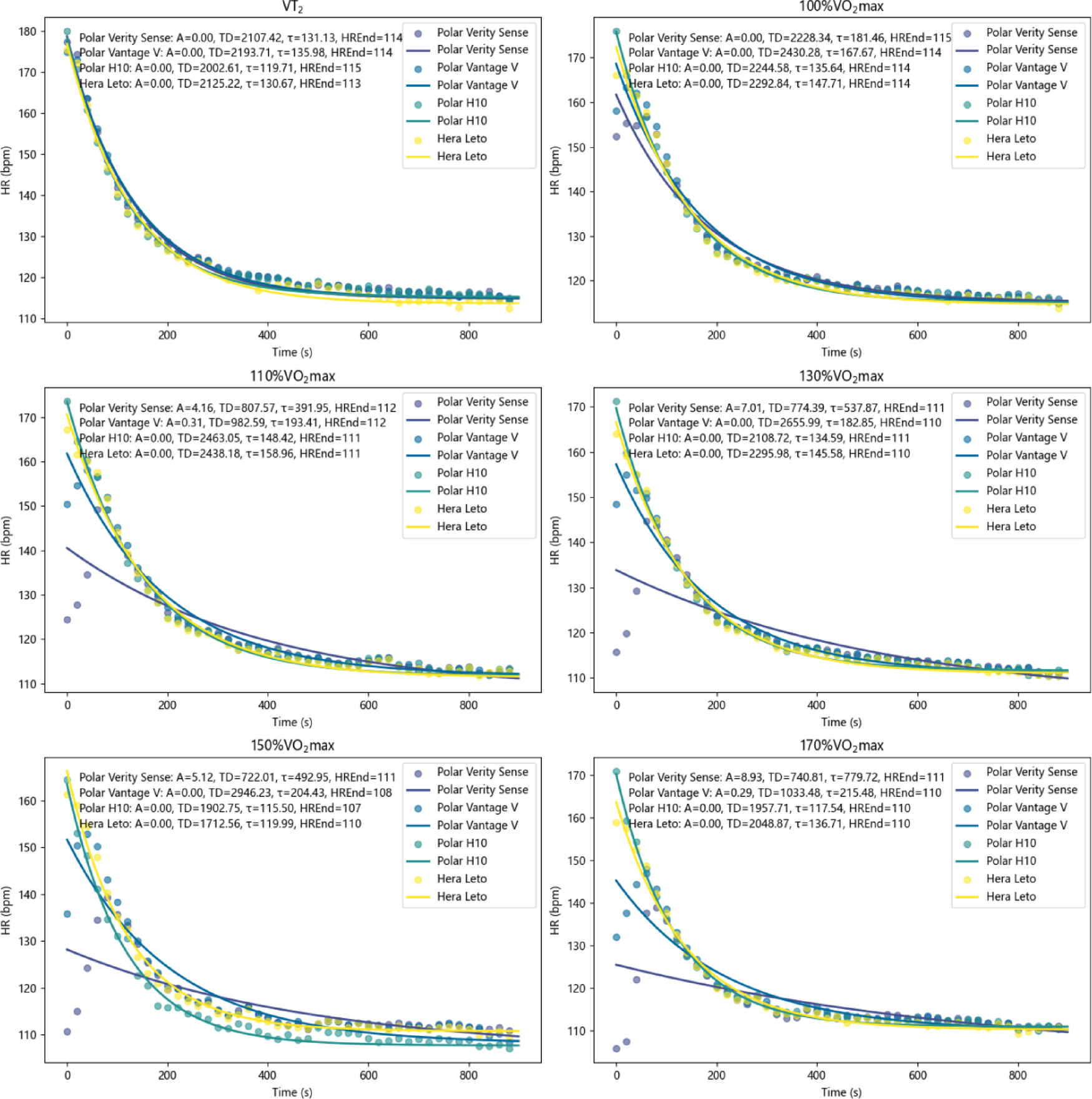
Fitting Parameters A, TD, and τ1 for HR kinetics during the OFF phase of severe intensity exhaustive exercise.
From: Validity of Hera Leto consumer earbuds for heart rate monitoring during stationary cycling

Fitting Parameters A, TD, and τ1 for HR kinetics during the OFF phase of severe intensity exhaustive exercise.