Fig. 5
From: Extreme frequency selectivity by synchronized time-modulated metasurfaces

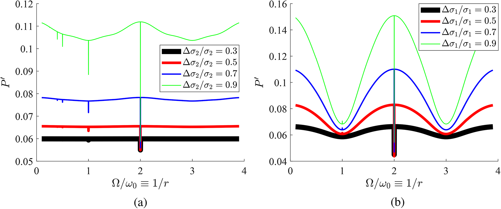
Demonstration of extreme frequency selectivity of the structure for \(\varphi =\pi\) and \(\omega _0 L/c=\pi /2\). Response \(P'\) is represented as function of the frequency ratio \(\Omega /\omega _0\) for various modulation depths of the time-dependent metasurface (\(\sigma _1\eta _0=0.58\), \(\sigma _2\eta _0=5\)). (a) Only second metasurface modulated, (b) only first metasurface modulated.