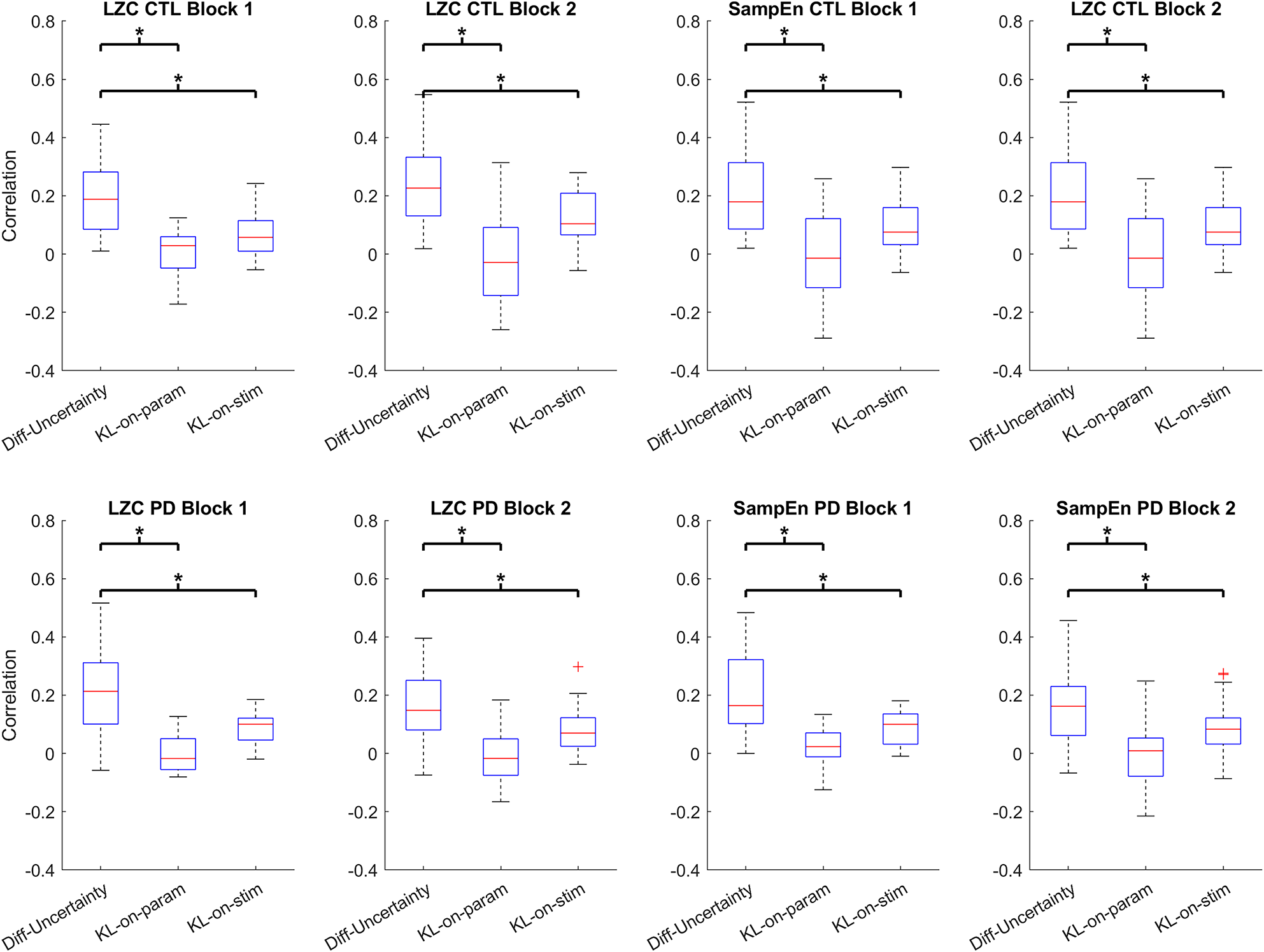
Fig. 2

Boxplots of correlation of changes in brain activity-derived complexity before and after stimulus with difference-of-uncertainty, KL divergence on parameter space, and KL divergence on stimulus space, all associated with the discrepancy between the prior and posterior distributions before and after observing a stimulus in the sequence. These distributions are either defined over the parameter space (as in KL on parameters) or the stimulus space (as in KL on stimulus and difference-of-uncertainty). The boxplots illustrate the correlation of these measures of surprise with the change in brain complexity form one trial to the next (calculated as the next trial minus the current trial). The boxplots in the first and second rows correspond to the CTL and PD groups, respectively. Notably, the correlations associated with difference-of-uncertainty exceed those for KL on stimulus and parameter spaces (p-value < 0.05; paired t-test). Correlations for all surprise types are optimized using the parameter \(\it \text{w}\), which represents memory length for each subject. The boxplots indicate the median (red line inside the box), the interquartile range (box edges for Q1 and Q3), and whiskers extending to the minimum and maximum values. The red plus signs shown on some boxplots correspond to subjects with considerably different correlation values from their group.