Fig. 6

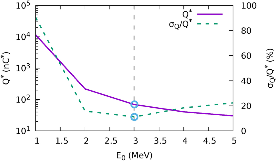
Example of charge extrapolation for one experimental event (one laser shot). Average charge over one set of radiochromic films is plotted at different source temperatures; the associated error, is used to determine the best fitting temperature. \(\sigma _{E_{0}}\) is minimized at \(\textrm{E}_{0}={3} \hbox { MeV}\) with an error of 11.1 %, which points to a charge of \({69.9}{\hbox { nC}^{*}}\).