Fig. 15
From: Computational identification and evaluation of novel PD-L1 inhibitors for cancer immunotherapy

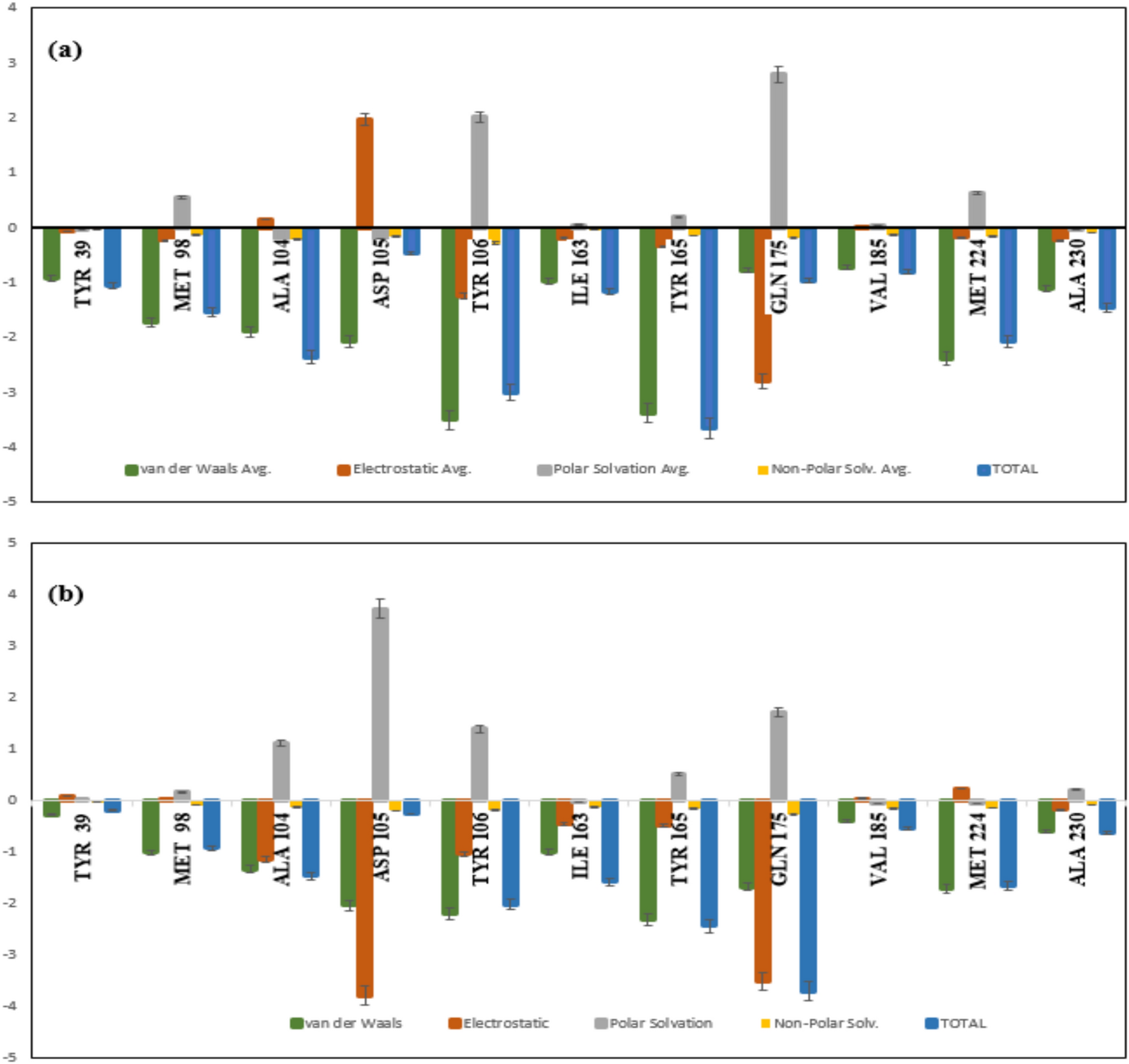
Per residue energy decomposition analysis of CCL (a) and Lig_1 (b) (Generated using AMBER 20).
From: Computational identification and evaluation of novel PD-L1 inhibitors for cancer immunotherapy

Per residue energy decomposition analysis of CCL (a) and Lig_1 (b) (Generated using AMBER 20).