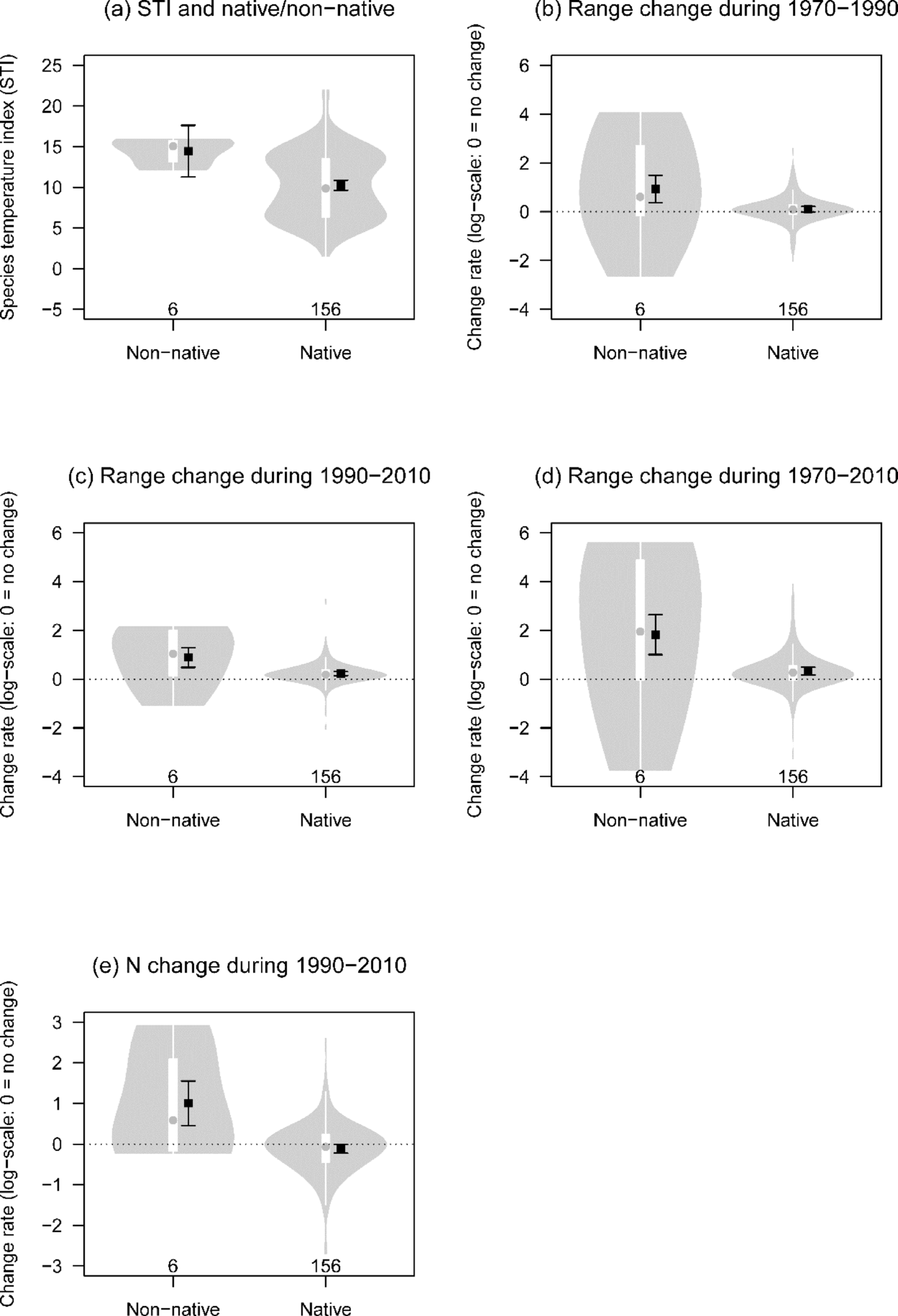
Fig. 2

STI, range and abundance (N) change in relation to non-native/native species. Numbers of species in each group are shown at the bottom of the plot; mean estimates and their 95% CIs, which were obtained based on the OLS model by omitting the intercept in the “lm” function in R (cell-means model), are aligned next to violin plots. Violin plots are depicted by “vioplot” ver. 0.5.054 where interquartiles, median, lower and upper whiskers are shown in the plots.