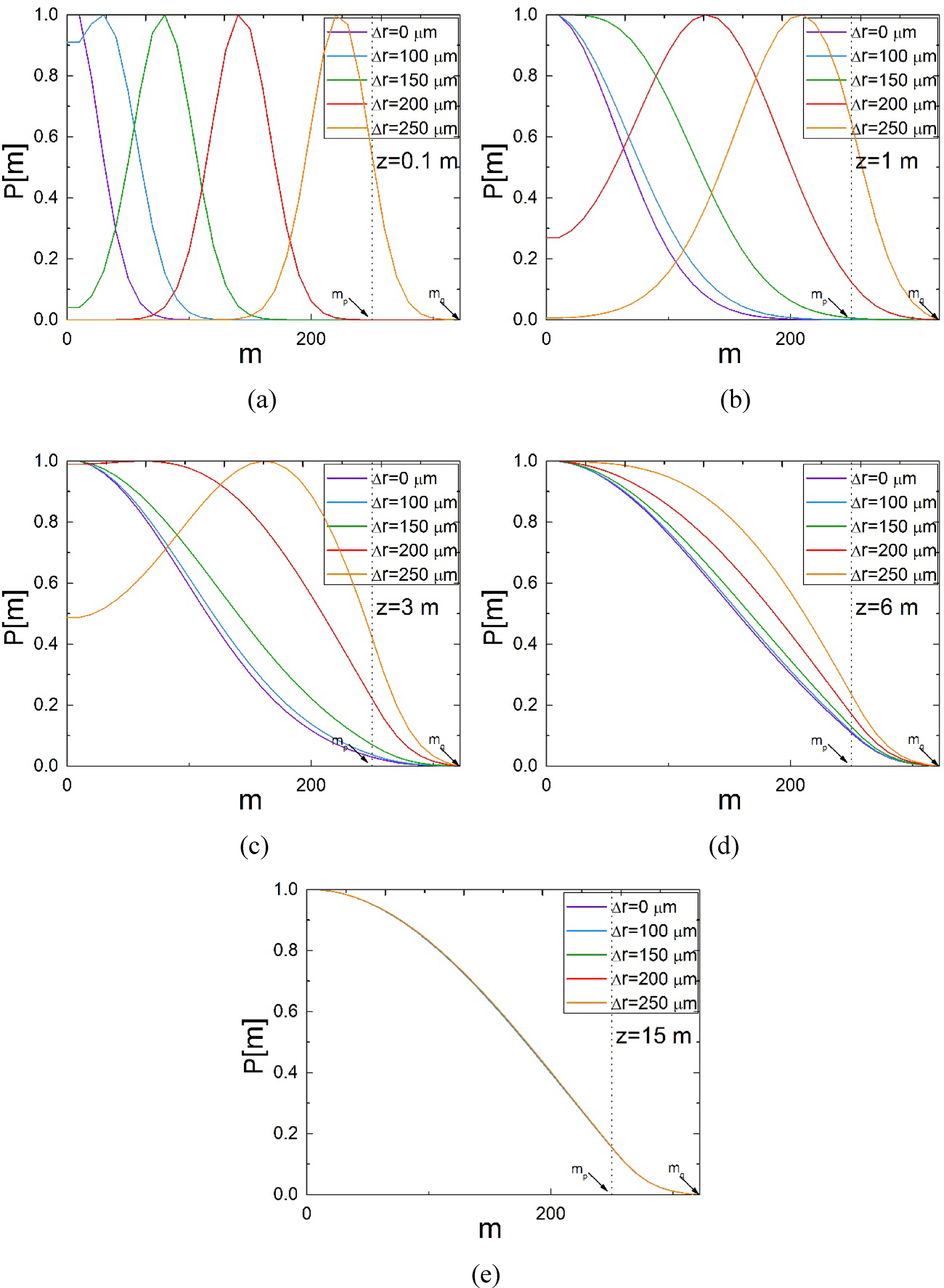
Fig. 2

Calculated output modal power distribution P(m) in W-type GI mPOF with δ = 0.008, over a range of radial offsets \(\:\varDelta\:r\), at fiber lengths (a) z = 0.1 m, (b) z = 1 m, (c) z = 3 m, (d) z = 6 m and (e) z = 15 m, for Gaussian launch beam distribution with \(( \theta )\) = 0° and (FWHM)0 = 3°.