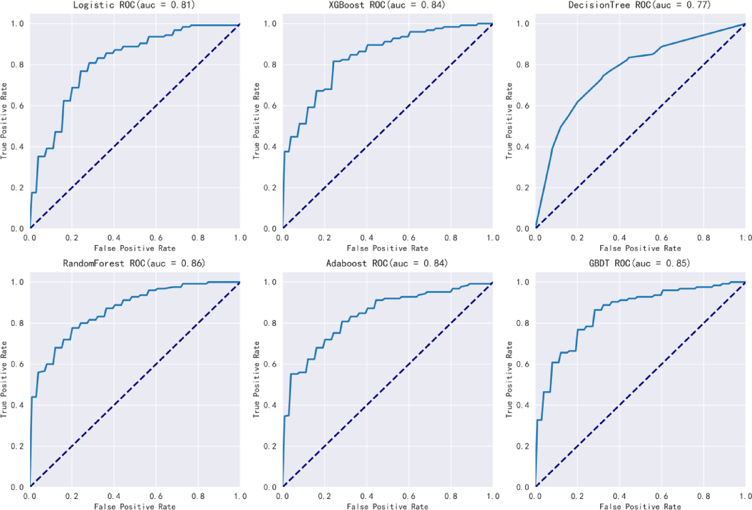
Fig. 5
From: Machine learning for grading prediction and survival analysis in high grade glioma

Six model ROC curves after using smote to deal with data imbalances.
From: Machine learning for grading prediction and survival analysis in high grade glioma

Six model ROC curves after using smote to deal with data imbalances.