Fig. 6
From: Nomogram for predicting secondary surgery in patients with concomitant exotropia

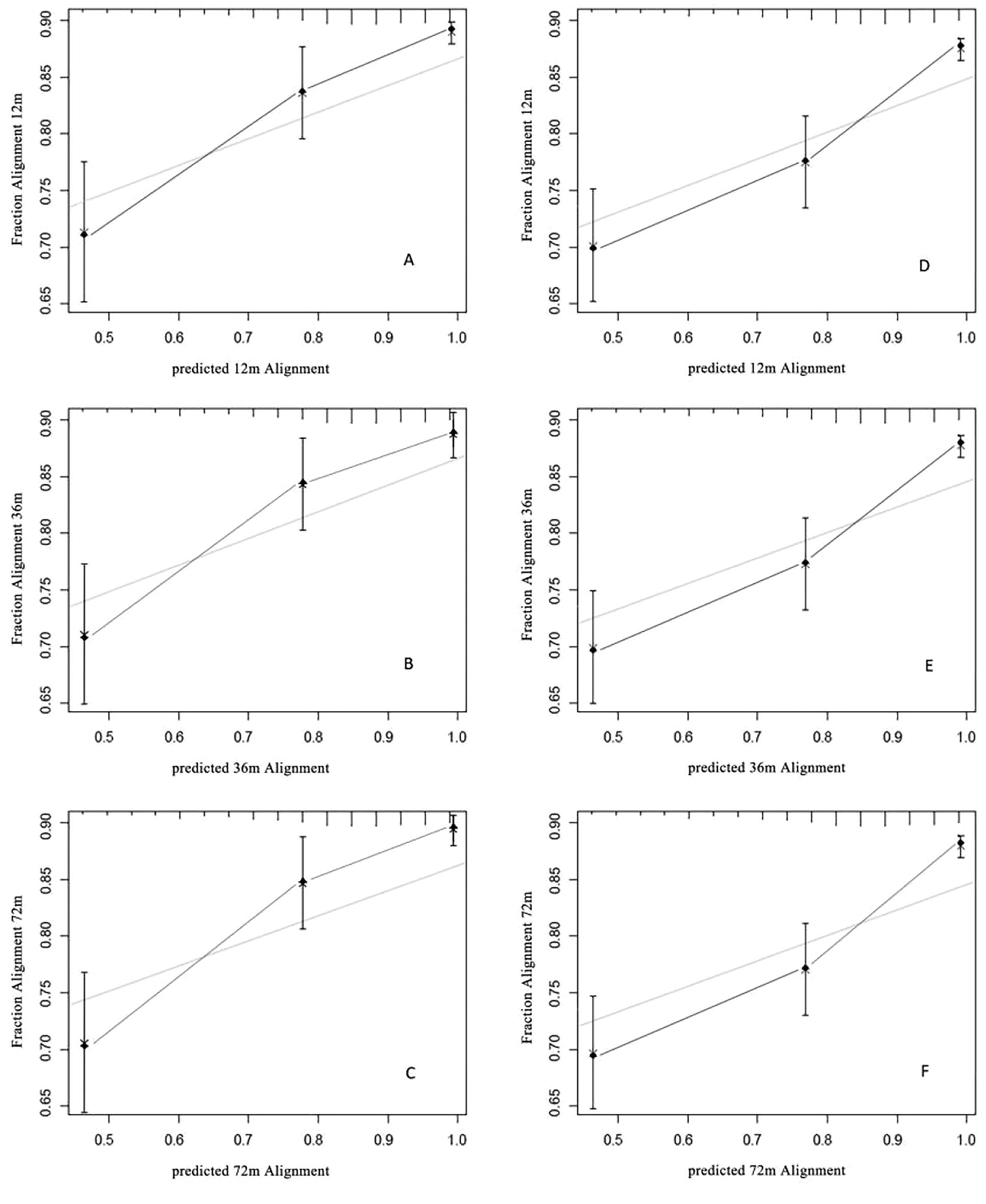
Calibration curve for predicting the one-year, three-year, six-year alignment probability of patients with CX in the training set(A-C) and validation set(D-F).