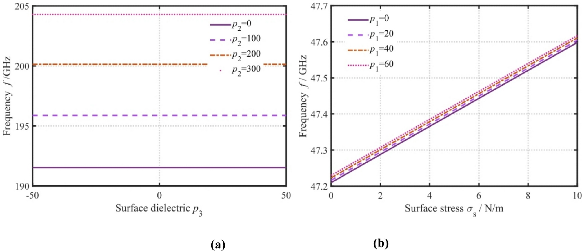
Fig. 11

Effect of surface stress, surface elasticity, surface piezoelectricity, and surface dielectric coefficient on the frequency(a: surface piezoelectricity, and surface dielectric coefficient, b:surface stress, surface elasticity).

Effect of surface stress, surface elasticity, surface piezoelectricity, and surface dielectric coefficient on the frequency(a: surface piezoelectricity, and surface dielectric coefficient, b:surface stress, surface elasticity).