Fig. 4
From: Plasma interleukin-22 concentration and disease activity in inflammatory bowel disease

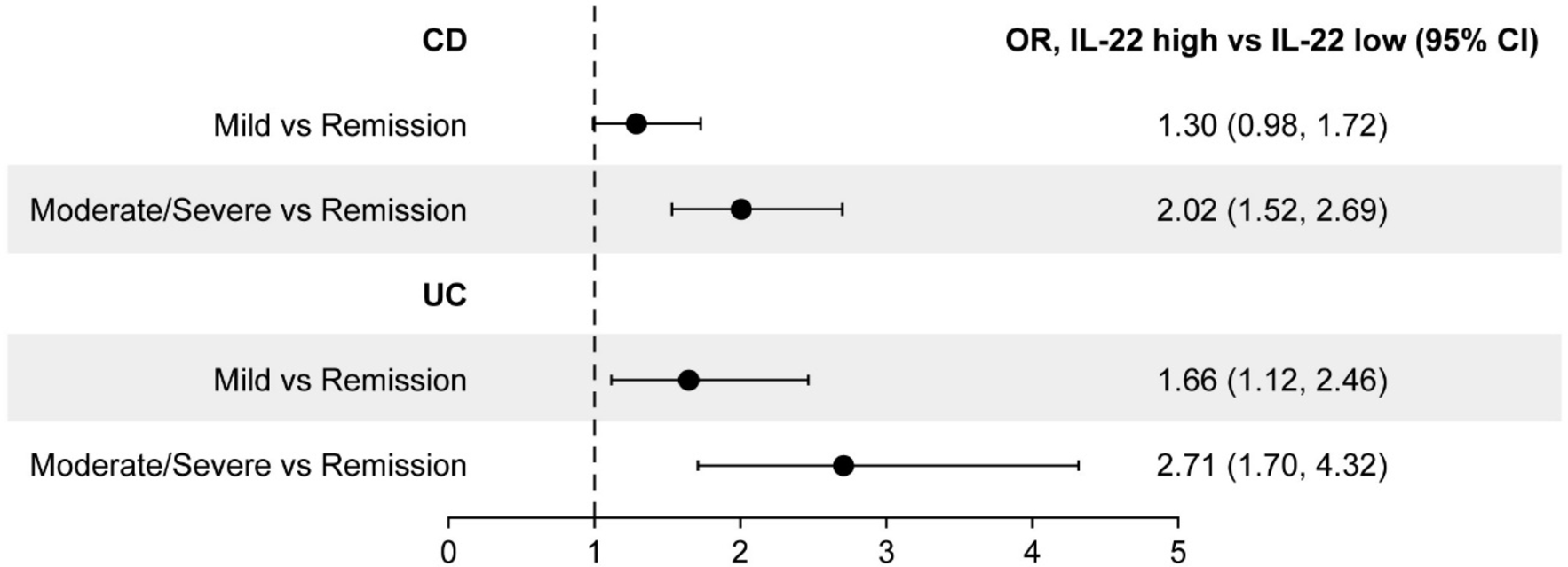
Odds ratios for disease activity among patients with high IL-22 vs. low IL-22. Based on a multinomial logit model adjusted for age, sex, disease duration, comorbidities (any/none), and main treatment classes (aminosalicylates, immunomodulators, anti-TNFα, anti-integrins, ustekinumab, corticosteroids). An OR of 1 indicates no difference between IL-22 high and low groups. An OR > 1 indicates greater risk in the IL-22 high group relative to the IL-22 low group. CD Crohn’s disease, CI confidence interval, IL-22 interleukin-22, OR odds ratio, TNF tumor necrosis factor, UC ulcerative colitis.