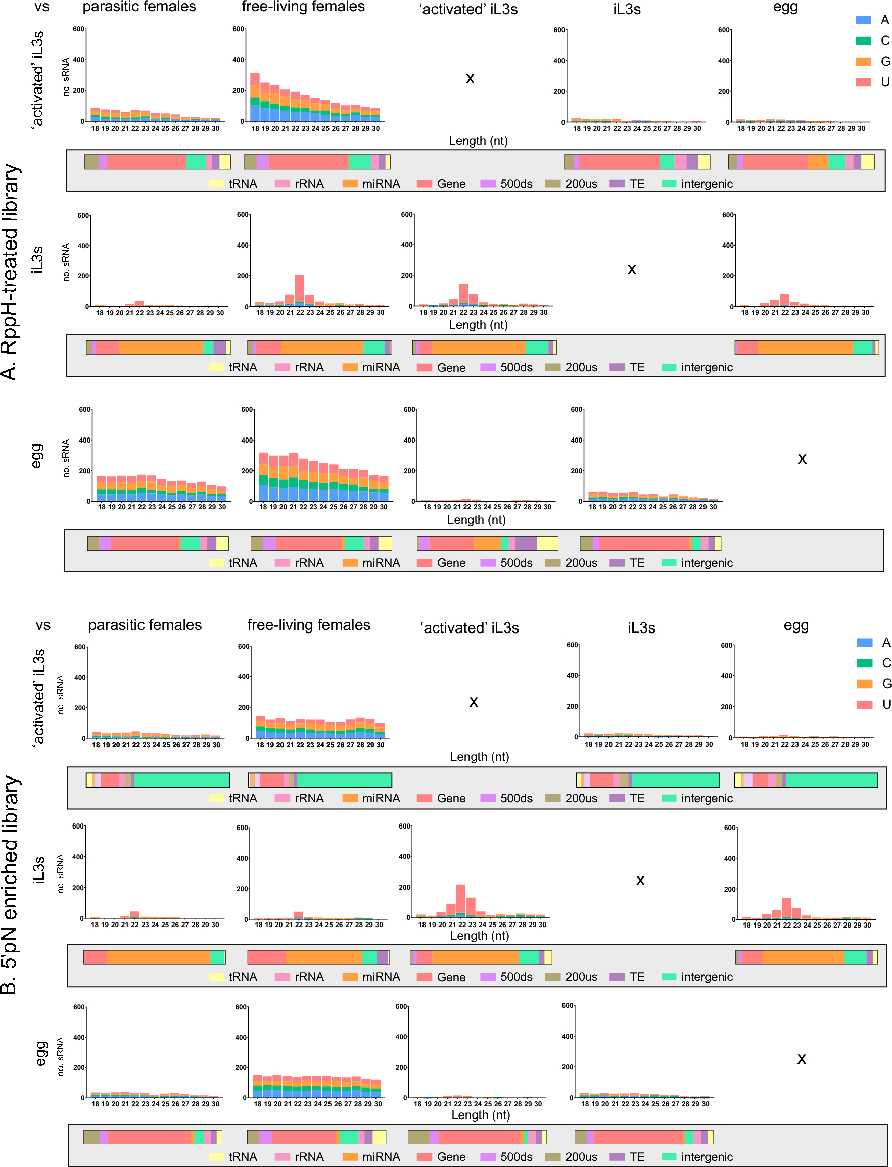
Fig. 8

sRNA upregulated in eggs, activated iL3s and free-living iL3s. sRNAs differentially expressed in activated iL3s, iL3s and eggs (FDR ≤ 0.01, edgeR Fishers Exact test when compared to other life cycle stages) in (A) RppH-treated library and (B) monophosphate library. Starting sequence base shown in key and proportion of origin (derived from tRNA, miRNA, rRNA, 500ds (3’UTR), 200us (5’UTR), TEs, intergenic regions or genes) of the expressed sRNAs shown below graphs.