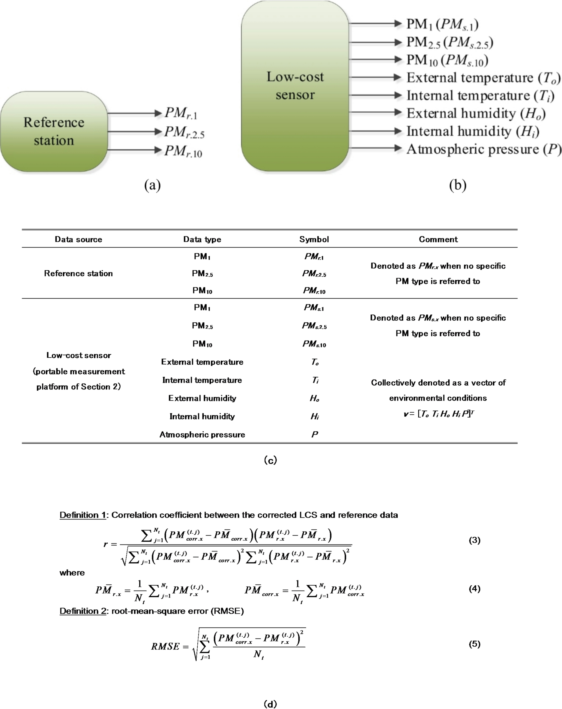
Fig. 3

Low-cost sensor and reference station outputs: (a) reference PMx readings; (b) LCS PMx readings. The supplementary data includes: external temperature and humidity, To, and Ho, respectively, internal temperature and humidity, Ti, and Hi, respectively, as well as atmospheric pressure P; (c) utilized notation; (d) definitions of performance metrics: correlation coefficient, and RMSE.