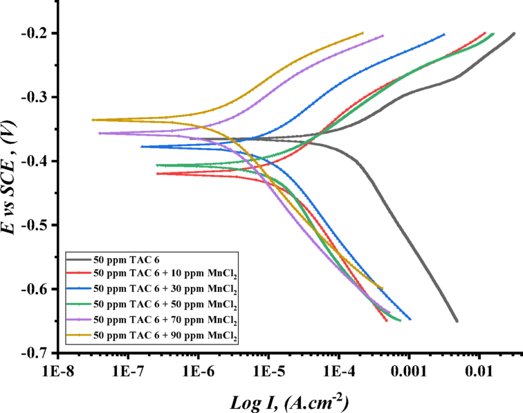
Fig. 19

Potentiodynamic polarization curves (\(\:\text{log}I\:\) plotted against \(\:E\:vs.\:SCE\)) of C-steel in 1 M HCl for TAC 6 surfactant at 50 ppm with the addition of different concentrations of MnCl2.

Potentiodynamic polarization curves (\(\:\text{log}I\:\) plotted against \(\:E\:vs.\:SCE\)) of C-steel in 1 M HCl for TAC 6 surfactant at 50 ppm with the addition of different concentrations of MnCl2.