Fig. 5
From: Sediment mercury and methylmercury dynamics during reservoir operation

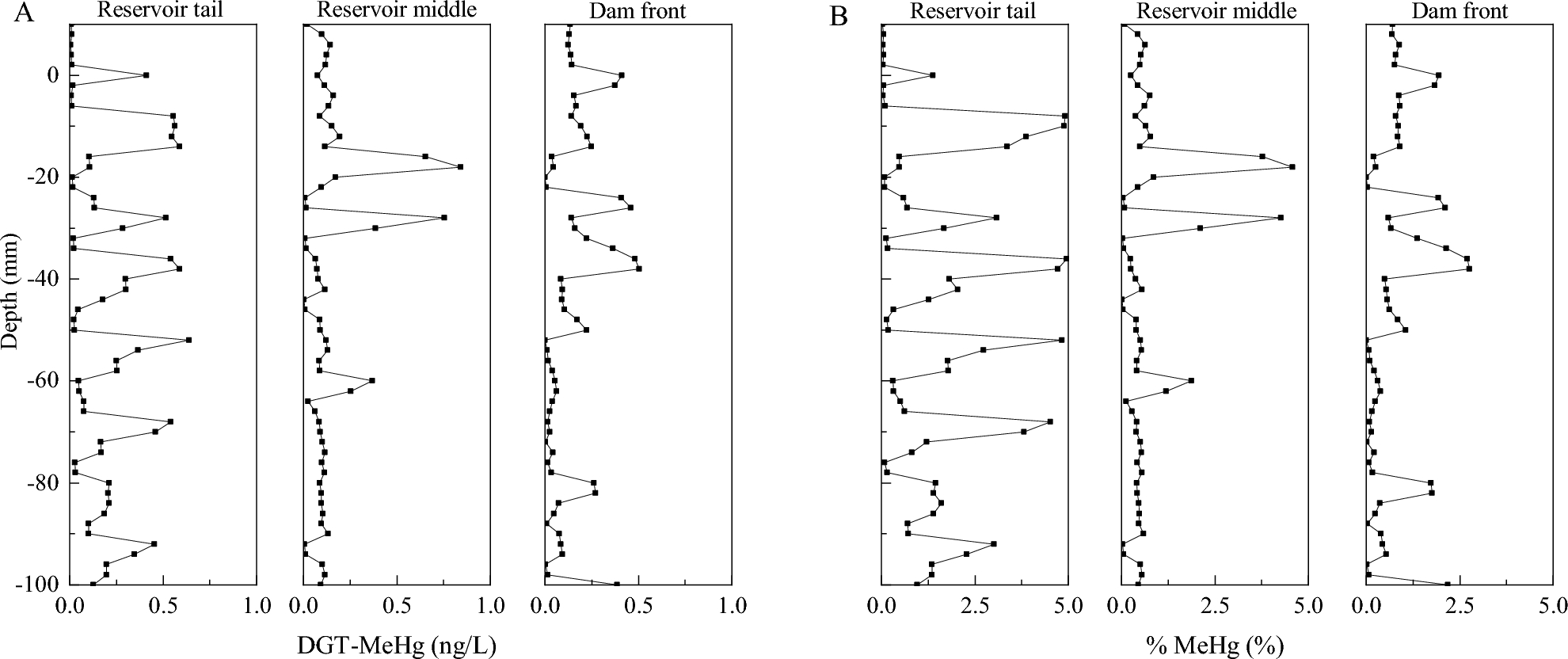
DGT-MeHg concentration and %MeHg level in the sediment with depth calculated from the DGT measurements. (A) DGT-MeHg. (B) %MeHg. The sediment–water interface is shown by the dotted line at the zero depth.