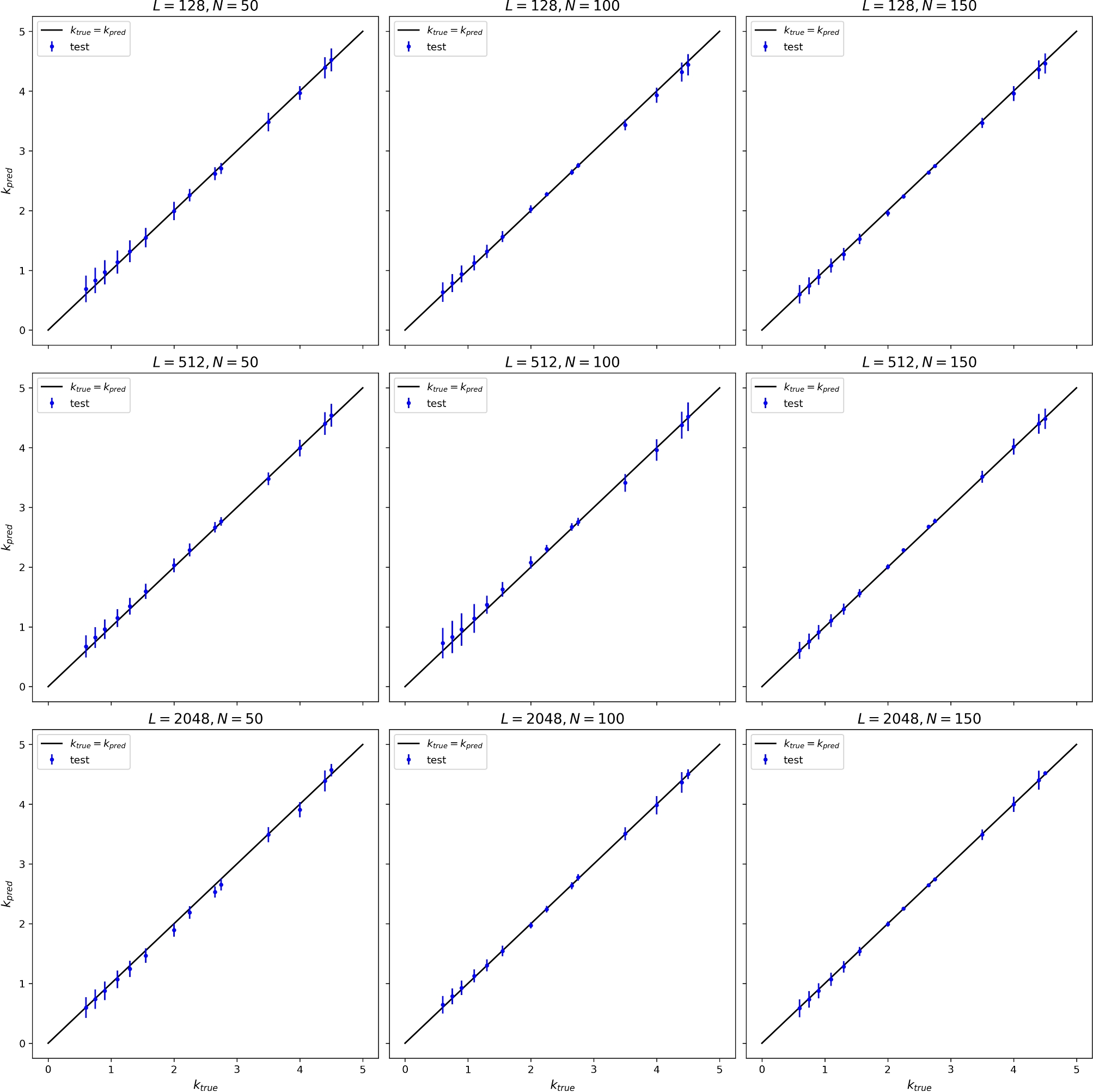
Fig. 8
From: Data-driven approach to the deep learning of the dynamics of a non-integrable Hamiltonian system

Comparison of the average predictions of k by the deep neural network (DNN) (on the y-axis) against the ground truth values (on the x-axis) for the test sets. The diagonal line represents perfect predictions, where \(\text {predictions} = \text {true}\). Error bars represent the standard deviation from the average, indicating the variability of the predictions. The average and standard deviation are calculated over predictions made using varying numbers of trajectories, N.