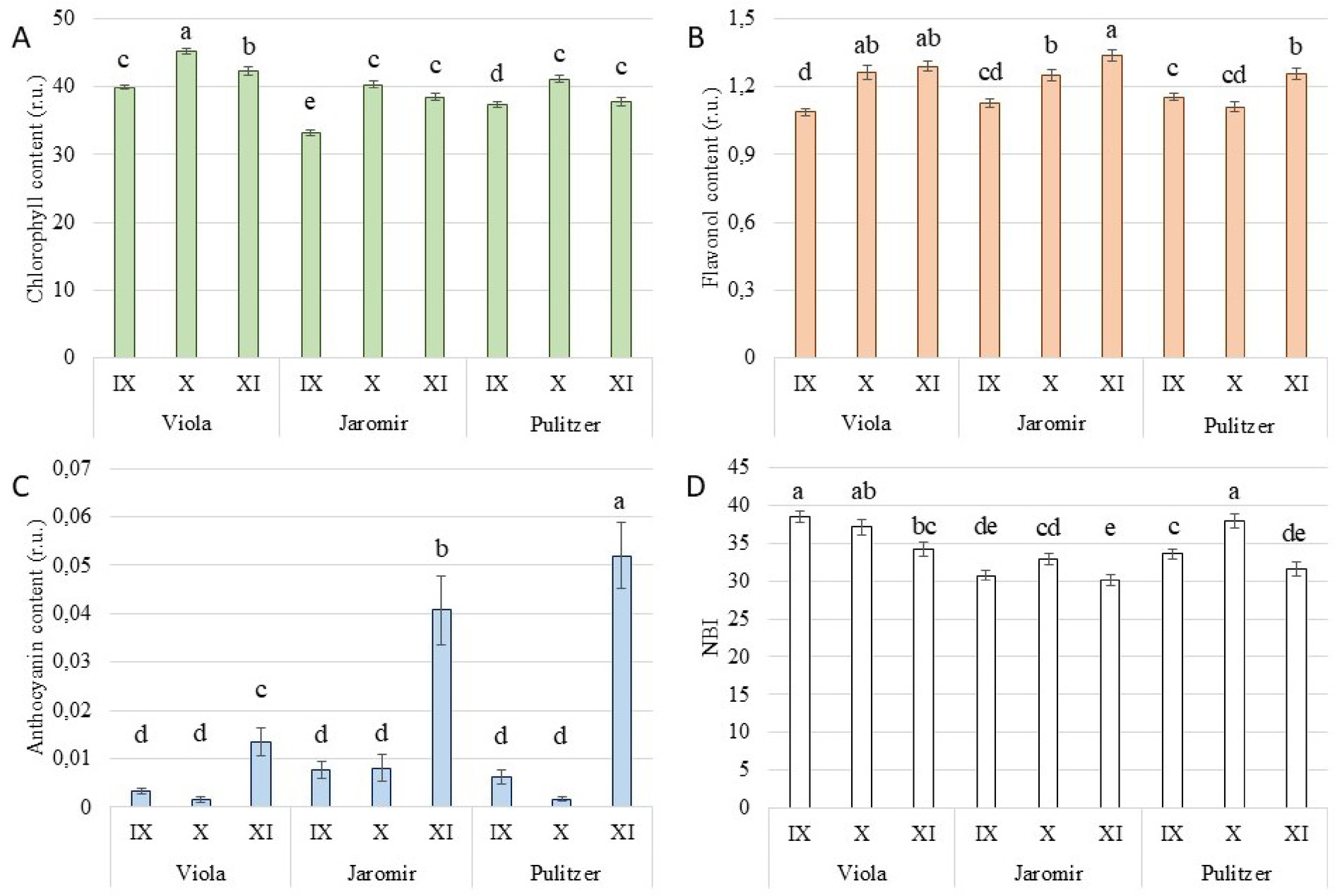
Fig. 3
From: Sugar management and photosynthesis of sugar beet after infection by Cercospora beticola

Chlorophyll (A), flavonol (B), and anthocyanin (C) content and Nitrogen Balance Index (D) in Viola, Jaromir, and Pulitzer cultivars of sugar beet from September (IX) to November (XI). Presented values are means ± SE (n = 60). Lowercase letters describe statistical significance (ANOVA, LSD test).