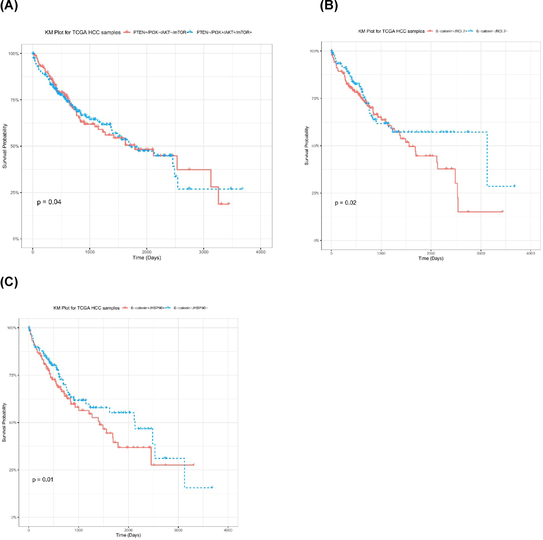
Fig. 8

Survival analysis for high/low molecular markers in TCGA HCC samples. (A) KM plot for TCGA HCC samples (PTEN+/PI3K−/AKT−/mTOR− vs. PTEN−/PI3K+/AKT+/mTOR+). (B) KM Plot for TCGA HCC samples (β-catenin+/BCL2+ vs. β-catenin−/BCL2−). (C) KM plot for TCGA HCC samples (β-catenin+/HSP90+ vs. β-catenin−/HSP90−).