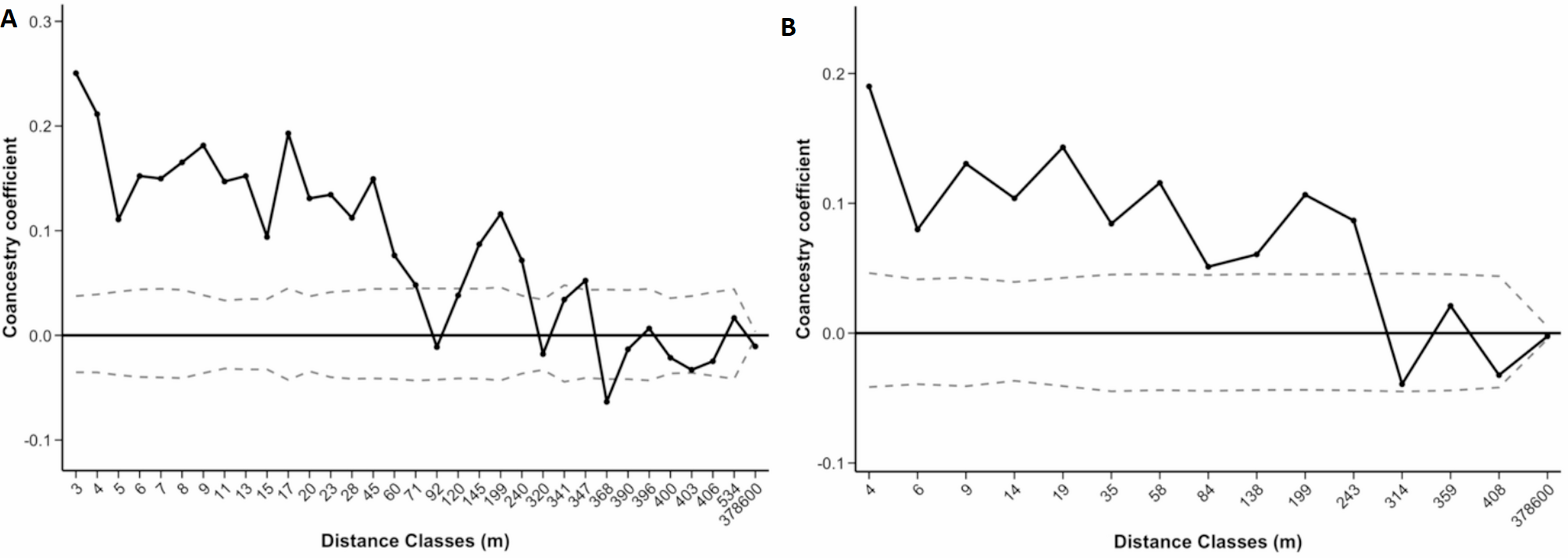
Fig. 3

Correlograms showing the spatial autocorrelation of the coancestry Loiselle coefficient (Loiselle et al., 1995) as a function of distance for V. pompona populations: (A) dataset including clones, (B) dataset excluding clones. Dashed lines represent the lower and upper 95% confidence limits for the null hypothesis of no spatial genetic structure.