Fig. 6
From: Nonlinear electronic oscillators as time sensors for high-precision positioning applications

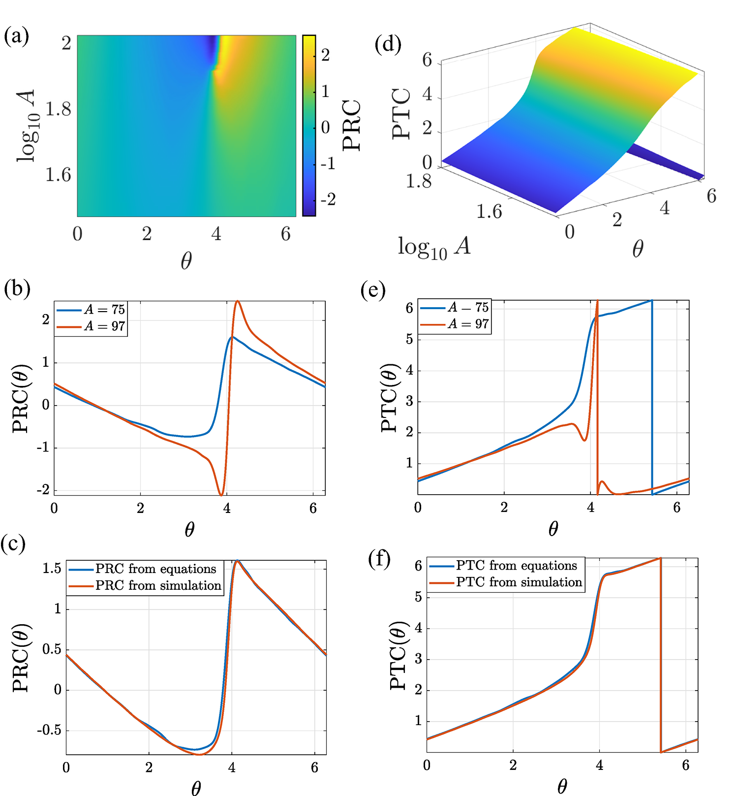
PRC and PTC curves for parameter values \(\log _{10} g=1.18, \; \log _{10} Q= 1.44, \; K=0.5\). (a) Generalized PRC, (d) generalized PTC (time crystal). (b,e) PRCs and PTCs for weak and strong forcing. (c,f) PRC and PTC for \(A=75\) as obtained from the mathematical model given by Eq. (10) and via Simulink simulations.