Fig. 9
From: Examination of particulate matter concentrations of the outdoor air of Miercurea Ciuc, Romania

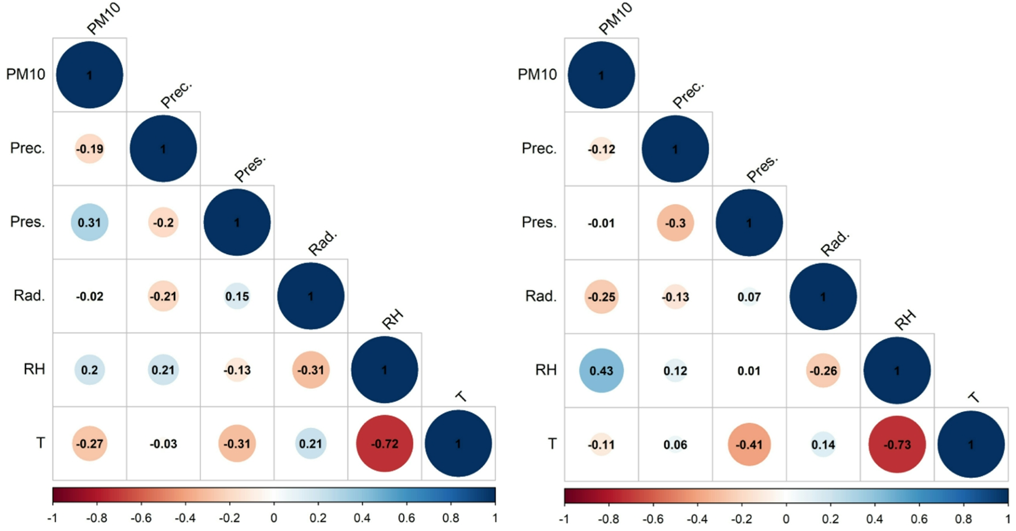
Correlation analysis with data from the city center (left) and monitoring station HR02 (right).
From: Examination of particulate matter concentrations of the outdoor air of Miercurea Ciuc, Romania

Correlation analysis with data from the city center (left) and monitoring station HR02 (right).