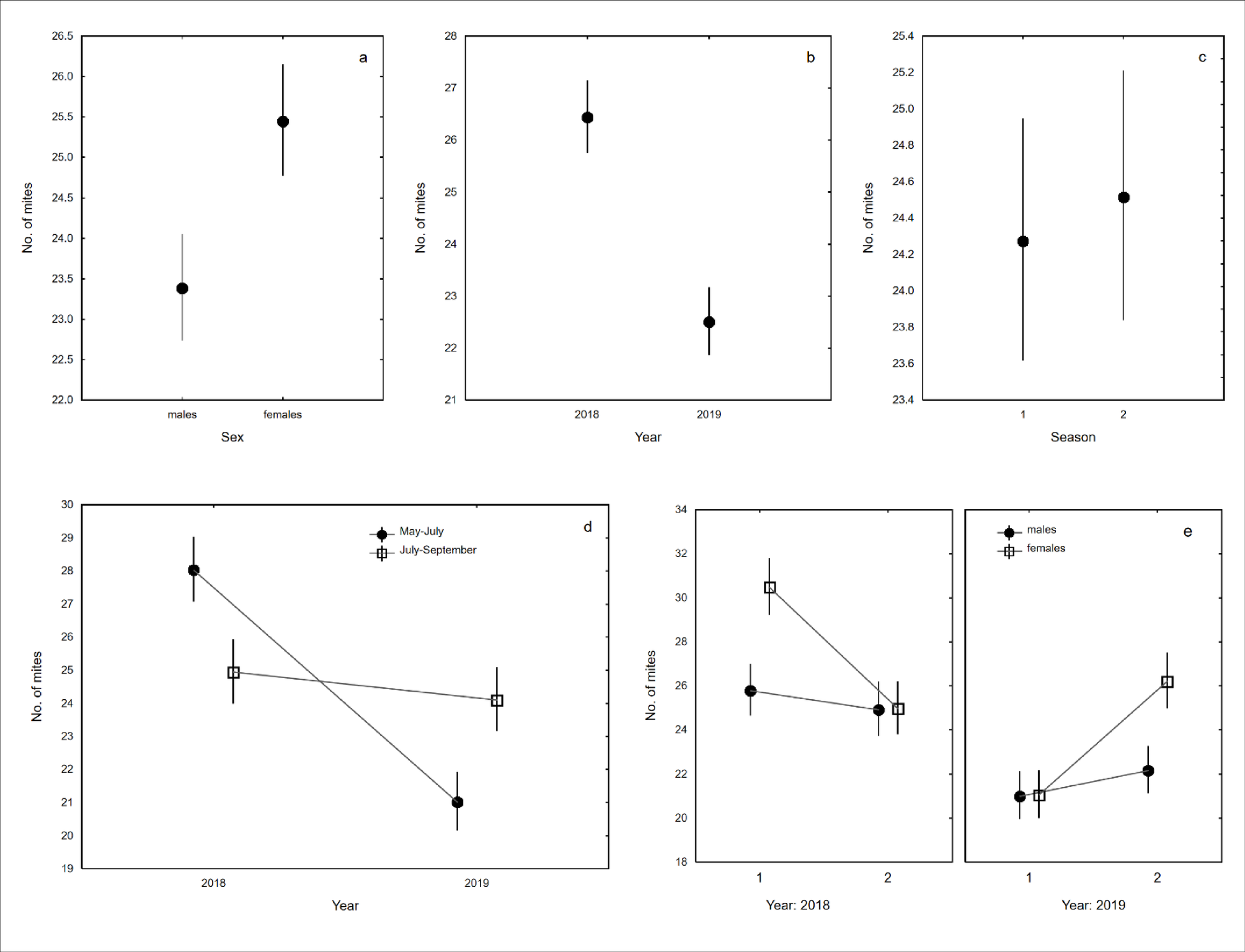
Fig. 2

Intensity of infestation of deutonymphs within the Uroobovella nova species complex carried by Nicrophorus vespilloides in relation to sex (a), year (b), season (c; 1–May–July, 2–July–September), interaction between season and year (d), and the interaction between sex, season, and year (e; 1–May–July, 2–July–September); mean values are presented with 95% confidence limits.