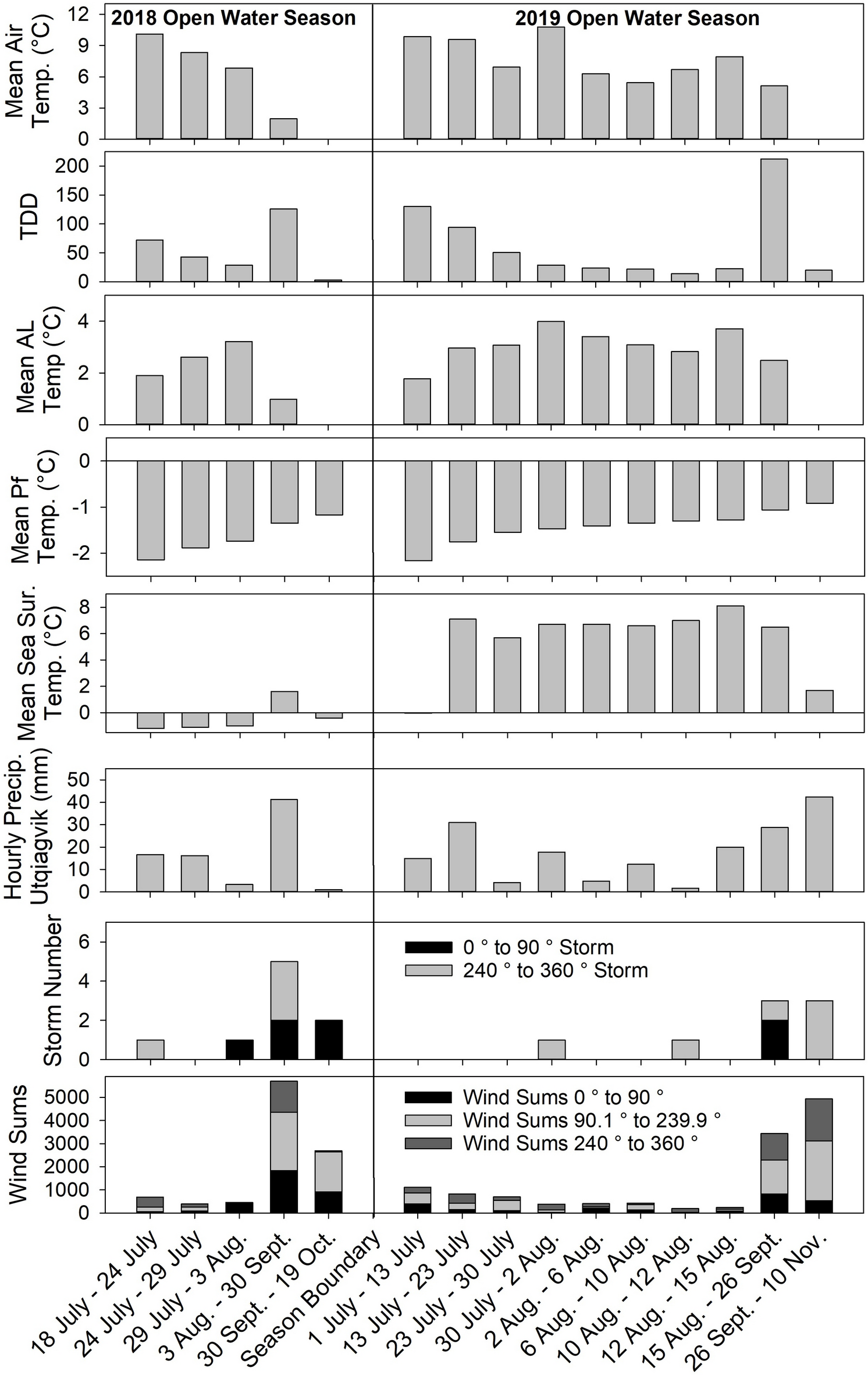
Fig. 6

Environmental parameters during the 2018 and 2019 open water seasons, all measured at Drew Point except for precipitation which was measured in Utqiaġvik. Top to bottom graphs show the following: mean air temperature, thawing degree day (TDD) sums, mean active layer temperature (measured at 5 cm, 10 cm, 15 cm, 20 cm and 30 cm depths), mean permafrost temperature (measured at 45 cm, 70 cm 95 cm and 120 cm depths), mean sea surface temperature, storm number (storms defined by21) and wind sums.